আজকে আমাদের আলোচনার বিষয়ঃ গেটের সমবায়। যা বাউবি এইচএসসি ২৮৭১ পদার্থ বিজ্ঞান ২য় পত্র ইউনিট ১০ ইলেকট্রনিক্স এর অন্তর্ভুক্ত।

গেটের সমবায়
বিভিন্ন মৌলিক গেটের সমন্বয়ে যে সব গেট গঠন করা হয় তাদেরকে সমন্বিত গেট বা যৌগিক গেট বলে । যৌগিক গেট তৈরি করার এ পদ্ধতিকে গেটের সমবায় বলে। তিনটি মৌলিক গেট OR, AND এবং NOT গেটের সমন্বয়ে চারটি যৌগিক গেট গঠন করা যায়। এগুলো হলো –
(১) NOR গেট
(২) NAND গেট
(৩) XOR গেট
(8) XNOR গেট
(১) NOR গেট (NOR গেট) :
NOR গেট প্রকৃতপক্ষে OR গেট ও NOT গেটের সমবায়। OR গেটের আউটপুটকে NOT গেটের মধ্য দিয়ে প্রেরণ করলে NOR গেট তৈরি হয়। OR গেট যে কাজ করে এই গেট তার বিপরীত কাজ করে । অর্থাৎ দুইটি ইনপুট যখন ০ হবে তখনই আউটপুট 1 হবে। আবার যতি কোন ইনপুট 1 হয় তবে আউটপুট অবশ্যই 0 হবে।
NOR গেটের বুলিয়ান সমীকরণ হলো :
X = NOT (A + B)=A+B
চিত্রে NOR গেটের সত্যক সারণি ও প্রতীক দেখানো হলো:


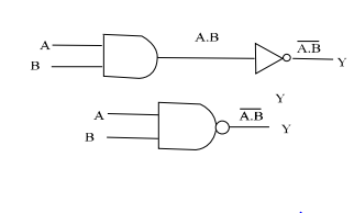
(২) NAND গেট (NAND Gate) :
NAND গেট হচ্ছে AND গেট ও NOT গেটের সমন্বিত রূপ। AND গেট থেকে নির্গত সংকেতটি NOT গেটের মধ্যদিয়ে প্রেরণ করলে NAND গেটের কাজ হয়। অর্থাৎ AND গেটের সাথে NOT গেট যুক্ত করে NAND গেট তৈরি করা হয়। AND গেট যে কাজ করে এই গেট তার বিপরীত কাজ করে। অর্থাৎ দুটি ইনপুট 1 হলে গেটের আউটপুট ০ হবে, এবং কোন একটি ইনপুট ) হলে আউটপুট 1 হবে। NAND গেটের বুলিয়ান সমীকরণ হলো, X = A.B
চিত্রে NAND গেটের সত্যক সারণি ও প্রতীক চিত্র দেখানো হলো :


(৩) XOR গেট (XOR Gate) :
Exclusive OR গেটকে সংক্ষেপে XOR গেট বলা হয়। OR গেট, AND গেট এবং NOT গেট সংযুক্ত করে XOR গেট তৈরি করা হয়। এই গেটের দুটি ইনপুট সমান না হলে আউটপুট 1 হয়। অর্থাৎ যখন যে কোনো একটি মাত্র ইনপুট 1 কিন্তু অন্য ইনপুট 1 হবে না, তখনই শুধু আউটপুট 1 হবে। সুতরাং আউটপুট ) হবে যখন ইনপুটগুলো একই (0, 0 অথবা 1, 1 ) হবে। দুটি বিটের অবস্থা তুলনা করার জন্য XOR গেট ব্যবহার করা হয় ।
XOR গেটের বুলিয়ান সমীকরণ হলো :
X = A⊕B
= AB+ AB
এখানে ⊕ চিহ্ন দ্বারা XOR গেটের ক্রিয়া বুঝানো হয়েছে।
চিত্রে XOR গেটের সত্যক সারণি এবং প্রতীক চিত্র দেখানো হয়েছে। XOR গেটের সত্যক সারণি :

(৪) XNOR গেট (XNOR Gate) :
XOR গেটের সাথে NOT গেট যোগ করে XNOR গেট পাওয়া যায়। XOR গেটের আউটপুটকে NOT গেট দিয়ে প্রেরণ করলে XNOR গেট গঠিত হয়। সুতরাং XOR গেট যে কাজ করে XNOR গেট তার বিপরীত কাজ করে। অর্থাৎ ইনপুটে বিজোড় সংখ্যক । থাকলে আউটপুট ) এবং XNOR গেটের বুলিয়ান সমীকরণ হলো-
X = A⊕B
= AB + AB
চিত্রে XNOR গেটের সত্যক সারণি ও প্রতীক চিহ্ন দেখানো হলো ।


বহুনির্বাচনী প্রশ্ন :
সঠিক উত্তরের পাশে টিক (√) চিহ্ন দিন
১। XNOR গেটের আউটপুট 1 হবে, যখন ইনপুট দুটি হবে-
(i) 0 এবং 0
(ii) 0 এবং 1
(iii) 1 এবং 1
নিচের কোনটি সঠিক?
(ক) i, ii
(খ) i ও iii
(গ) ii ও iii
(ঘ) i, ii ও iii
২। নিচের কোন লজিক গেটটি নিম্নবর্ণিত সত্যক সারণিকে সমর্থন করে।
(ক) NAND
(খ) AND
(গ) XOR
(গ) OR
