আমাদের আজকের আলোচনার বিষয় তড়িৎ দ্বিমেরু। যা বাউবি এইচএসসি ২৮৭১ পদার্থ বিজ্ঞান ২য় পত্র ইউনিট ১ স্থির তড়িৎ এর অন্তর্ভুক্ত।
তড়িৎ দ্বিমেরু
তড়িৎ দ্বিমেরু” (Electric dipole)
সমমানের বিপরীতধর্মী দুটি বিন্দু আধান অল্প দূরত্বে অবস্থান করলে যে ব্যবস্থা (system) গঠিত হয়, তাকে তড়িৎ দ্বিমের বলে। যেমন হাইড্রোজেন পরমাণুতে একটি প্রোটন এবং একটি ইলেকট্রন পরস্পরের খুব কাছাকাছি অবস্থান করে একটি তড়িৎ দ্বিমের গঠন করে। ১.১৩ চিত্রে একটি তড়িৎ দ্বিমের দেখানো হয়েছে।
এতে দুটি সমান ও বিপরীত আধান +q এবং q পরস্পর থেকে 21 দূরত্বে অবস্থিত। কোনো তড়িৎ দ্বিমের র ধনাত্মক ও ঋণাত্মক আধানের মধ্য দিয়ে অতিক্রাড় সরলরেখাকে ঐ তড়িৎ দ্বিমের অক্ষ বলে। একটি তড়িৎ দ্বিমের সবলতা পরিমাপ করা হয় তার তড়িৎ দ্বিমের ভ্রামক (electric depole moment) দ্বারা।

তড়িৎ দ্বিমের— ভ্রামক: তড়িৎ দ্বিমেরর যেকোনো একটি আধান এবং এদের মধ্যবর্তী দূরত্বের গুণফলকে তড়িৎ দ্বিমের— ভ্রামক বলে। তড়িৎ দ্বিমের ভ্রামক একটি ভেক্টর রাশি এবং একে P দ্বারা প্রকাশ করা হয়। যে কোনো একটি আধান এবং এদের মধ্যবর্তী দূরত্বের গুণফল দ্বারা এর মান পরিমাপ করা হয়।
.. p = q x 21
P এর দিক হয় তড়িৎ দ্বিমের র অক্ষ বরাবর ঋণাত্মক আধান থেকে ধনাত্মক আধানের দিক [চিত্র ১.১৩]। এর একক কুলম্ব মিটার (Cm)।
একটি তড়িৎ দ্বিমের“র জন্য তার অক্ষের ওপর কোনো বিন্দুতে তড়িৎ প্রাবল্যের রাশিমালা
Equation of an Electric Field Intensity at a point on the axial line of an Electric dipole
আমরা জানি, কোনো তড়িৎ দ্বিমের← ধনাত্মক ও ঋণাত্মক আধানের মধ্য দিয়ে অতিক্রাড় সরলরেখাকে ঐ তড়িৎ দ্বিমের র অক্ষ বলে ।
মনে করি, A বিন্দুতে –g এবং B বিন্দুতে +q দুটি বিন্দু আধান পরস্পর থেকে 21 দূরত্বে থেকে একটি তড়িৎ দ্বিমের— বা ডাইপোল গঠন করে (চিত্র : ১.১৪)। আধান দুটি K তড়িৎ মাধ্যমাঙ্ক বিশিষ্ট মাধ্যমে অবস্থিত। এই তড়িৎ দ্বিমের র মধ্যবিন্দু O থেকে তার অক্ষের ওপর । দূরত্বে অবস্থিত P বিন্দুতে তড়িৎ প্রাবল্য নির্ণয় করতে হবে।


E এর দিক হবে তড়িৎ দ্বি-মের র অক্ষ বরাবর ঋণাত্মক আধান থেকে ধনাত্মক আধানের দিকে,
বিশেষ ক্ষেত্র : যদি P বিন্দুটি দ্বিমের থেকে অনেক দূরে হয়
(অর্থাৎ যদি r>> / হয়), তাহলে r এর তুলনায় / কে উপেক্ষা করা যায়। সেক্ষেত্রে,

উপরের সমীকরণ থেকে দেখা যায় যে, একটি তড়িৎ দ্বিমের— থেকে অনেক দূরে তার অক্ষের উপর কোনো বিন্দুতে তড়িৎপ্রাবল্য দূরত্বের ঘনফলের ব্যানুপাতিক।
একটি তড়িৎ দ্বিমের“র জন্য তার অক্ষের ওপর কোনো বিন্দুতে তড়িৎ বিভবের রাশিমালা Equation of an Electric Field Intensity at a Point on Equational line of an Electric Dipole
আমরা জানি, কোনো তড়িৎ দ্বিমের“র ধনাত্মক ও ঋণাত্মক আধানের মধ্য দিয়ে অতিক্রান্ত্ সরলরেখাকে ঐ তড়িৎ দ্বিমের=র অক্ষ বলে ।
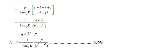
মনে করি, A বিন্দুতে –g এবং B বিন্দুতে +q দুটি বিন্দু আধান পরস্পর থেকে 21 দূরত্বে থেকে একটি তড়িৎ দ্বিমের বা ডাইপোল গঠন করে (চিত্র : ১.১৫)। আধান দুটি K তড়িৎ মাধ্যমাঙ্ক বিশিষ্ট মাধ্যমে অবস্থিত। এই তড়িৎ দ্বিমের র মধ্যবিন্দু O থেকে তার অক্ষের ওপর ।” দূরত্বে অবস্থিত P বিন্দুতে তড়িৎ বিভব নির্ণয় করতে হবে।


বিশেষ ক্ষেত্র : যদি P বিন্দুটি থেকে অনেক দূরে হয় (অর্থাৎ যদি r>>[ হয়), তাহলে r” এর তুলনায় / কে উপেক্ষা করা যায়। সেক্ষেত্রে

উপরের সমীকরণ থেকে দেখা যায় যে, একটি তড়িৎ দ্বিমের— থেকে অনেক দূরে তার অক্ষের উপর কোনো বিন্দুতে তড়িৎ বিভব দূরত্বের বর্গের ব্যানুপাতিক।
একটি তড়িৎ দ্বিমের“র দৈর্ঘ্যের লম্ব সমদ্বিখ—কের উপর অবস্থিত কোনো বিন্দুতে তড়িৎ প্রাবল্যের রাশিমালা (Equation of An Electric Field Intensity at a point on Equatorial Line of an Electric Dipole)
মনে করি, A বিন্দুতে – এবং B বিন্দুতে +q দুটি বিন্দু আধান পরস্পর থেকে 21 দূরত্বে থেকে একটি তড়িৎ দ্বিমের← বা ডাইপোল গঠন করে (চিত্র ১.১৬)। আধান দুটি K তড়িৎ মাধ্যমাঙ্ক বিশিষ্ট মাধ্যমে অবস্থিত। এই তড়িৎ দ্বিমের=র মধ্যবিন্দু O থেকে তার লম্ব সমদ্বিখকের ওপর । দূরত্বে অবস্থিত P বিন্দুতে তড়িৎ প্রাবল্য নির্ণয় করতে হবে।



যেহেতু E1 ও E2 এর মান সমান, সুতরাং লব্ধি E, E1 ও E2 এর অন্তর্ভুক্ত কোণ 20 কে সমদ্বিখ—িত করে। <DPR=ZPBA=0, একই ভূমি DPB এর ওপর অনুরূপ কোণ, সুতরাং PR, BA এর সমাড়াল।
অতএব, দ্বিমের“র লম্ব সমদ্বিখকের ওপর তড়িৎ প্রাবল্যের দিক হবে দ্বিমের← অক্ষের সমাাল দ্বিমের ধনাত্মক আধান থেকে ঋণাত্মক আধানের দিকে।
বিশেষ ক্ষেত্র : যদি P বিন্দুটি দ্বিমের= থেকে অনেক দূরে হয় (অর্থাৎ, r>>[ হয়) তাহলে r এর তুলনায় / কে উপেক্ষা করা যায়, সেক্ষেত্রে,

একটি তড়িৎ দ্বিমের“র দৈর্ঘ্যের লম্ব সমদ্বিখ—কের ওপর যেকোনো বিন্দুতে তড়িৎ বিভবের রাশিমালা (Equation of an Electric Potential at a point on Equatorial Line of an Electric Diple)
মনে করি, A বিন্দুতে –g এবং B বিন্দুতে +q দুটি বিন্দু আধান পরস্পর থেকে 2/ দূরত্বে থেকে একটি তড়িৎ দ্বিমের বা ডাইপোল গঠন করে (চিত্র ১.১৭)। আধান দুটি K তড়িৎ মধ্যমাঙ্ক বিশিষ্ট মাধ্যমে অবস্থিত। এই তড়িৎ দ্বিমের মধ্যবিন্দু O থেকে তার লম্ব সমদ্বিখকের ওপর । দূরত্বে অবস্থিত P বিন্দুতে তড়িৎ বিভব নির্ণয় করতে হবে ।

সার-সংক্ষেপ :
তড়িৎ দ্বিমের— (Electric Dipole) : সমমানের বিপরীতধর্মী দুটি বিন্দু আধান অল্প দূরত্বে অবস্থান করলে যে ব্যবস্থা (system) গঠিত হয়, তাকে তড়িৎ দ্বিমের” বলে । তড়িৎ দ্বিমের— ভ্রামক (Electric Dipole moment) : তড়িৎ দ্বিমের যেকোনো একট আধান এবং এদের মধ্যবর্তী দূরত্বের গুণফলকে তড়িৎ দ্বিমের— ভ্রামক বলে ।
