আমাদের আজকের আলোচনার বিষয় আধান: কুলম্বের সূত্র। যা বাউবি এইচএসসি ২৮৭১ পদার্থ বিজ্ঞান ২য় পত্র ইউনিট ১ স্থির তড়িৎ এর অন্তর্ভুক্ত।
আধান: কুলম্বের সূত্র
ভূমিকা :
যীশু খ্রিস্টের জন্মের প্রায় ৬০০ বছর পূর্বে গ্রিক দার্শনিক থেলস্ (Thales : 640-548 BC) সর্বপ্রথম পর্যবেক্ষণ করেন যে, সোলেমানী পাথর বা অ্যাম্বার (Amber, পাইন গাছের শক্ত আঠা) দিয়ে রেশমি কাপড়কে ঘষলে অ্যাম্বার ছোট ছোট কাগজের টুকরাকে আকর্ষণ করে।
ড. উইলিয়াম গিলবার্ট (William Gilbert : 1540-1603) পরবর্তীতে এ সম্বন্ধে বিড় রিত অনুসন্ধান করেন এবং পরীক্ষার সাহায্যে দেখান যে, শুধু অ্যাম্বার-ই নয় আরো অনেক পদার্থ; যেমন- রবার, কাচ, ইবোনাইট, ফ্লানেল প্রভৃতিকে ঘষলেও এরূপ ঘটনা ঘটে, তিনি পদার্থের এ ধর্মের নাম দেন তড়িতাহিতকরণ বা বিদ্যুতাহিতকরণ (Electrification) আর ঘর্ষণের ফলে অ্যাম্বারে সৃষ্ট অদৃশ্য শক্তির নাম দেন তড়িৎ বা ইলেকট্রিসিটি (Electricity)।
গ্রিক ভাষায় ইলেকট্রন (Electron) অর্থ আম্বার। ইলেকট্রিসিটি শব্দটি প্রকৃতপক্ষে গ্রিক শব্দ ইলেকট্রন থেকে নেয়া হয়েছে। কোনো বস্তুতে আধানের সঞ্চার হয়ে তা ওই স্থানেই স্থির থাকলে বস্তুতে উৎপন্ন তড়িৎকে স্থির তড়িৎ বলে। এ ইউনিটে আমরা স্থির আধানের প্রকৃতি, কুলম্বের সূত্র, গাউসের সূত্র ও তাদের ব্যবহার নিয়ে আলোচনা করব। এর সাথে থাকছে তড়িৎ দ্বিমের, ধারক এবং ধারকের সংযোগ নিয়ে আলোচনা।
আধান:
আধান: অ্যাম্বারকে রেশমী কাপড় দিয়ে ঘষলে এতে আধান বা চার্জ উৎপন্ন হয়। ঘর্ষণের ফলে কোন বস্তুতে যার উপস্থিতিতে, সে বস্তু দ্বারা অন্য কোনো বস্তু বা বস্তুকণাকে আকর্ষণ করার শক্তির সঞ্চার হয় তাকে আধান বা চার্জ বলে ।
তড়িতাহিতকরণ:
ঘর্ষণের ফলে প্রত্যেক বস্তুই অন্য বস্তুকে কম-বেশি আকর্ষণ বা বিকর্ষণ করার শক্তি অর্জন করে। এ ঘটনাকে তড়িতাহিতকরণ বলে।
তড়িতাহিত বস্তু: ঘর্ষণের ফলে যে বস্তু অন্য কোনো বস্তুকে আকর্ষণ বা বিকর্ষণ করার ক্ষমতা অর্জন করে, তাকে তড়িতাহিত বস্তু বলে। তড়িৎ: স্থির বা গতিশীল আধানের প্রকৃতি ও প্রভাব বা ক্রিয়াকে তড়িৎ বলে ।
তড়িৎ-এর প্রকারভেদঃ
তড়িৎ দুই প্রকার, যথা- স্থির তড়িৎ ও চল তড়িৎ।
স্থির তড়িৎ: স্থির আধানের প্রভাব বা ক্রিয়াকে স্থির তড়িৎ বলে।
চল চড়িৎ: গতিশীল আধানের প্রভাব বা ক্রিয়াকে চল তড়িৎ বলে।
আমরা জানি, সকল পদার্থই অতি ক্ষুদ্র ক্ষুদ্র কণা দ্বারা তৈরি। এ ক্ষুদ্র কণাকে পরমাণু বলে। পরমাণু সাধারণত তিনটি মৌলিক কণা: ইলেকট্রন, প্রোটন এবং নিউট্রনের সমন্বয়ে গঠিত। এদের মধ্যে কেবলমাত্র ইলেকট্রনই মৌলিক কণিকা।
পরমাণুতে একটি ক্ষুদ্র অথচ তুলনামূলকভাবে ভারী কেন্দ্র বা নিউক্লিয়াস (nucleus) রয়েছে। যার মধ্যে রয়েছে প্রোটন ও নিউটন। প্রোটন ধনাত্মক চার্জযুক্ত কিন্তু নিউট্রন চার্জবিহীন বা চার্জ নিরপেক্ষ (neutral)। এ নিউক্লিয়াসকে বেষ্টন করে বিভিন্ন কক্ষে ছড়িয়ে আছে ইলেকট্রণ (চিত্র ১.১)।

ইলেকট্রনগুলো বিভিন্ন কক্ষপথে নিউক্লিয়াসের চারিদিকে ঘুরে বেড়ায়। ইলেকট্রনের রয়েছে ঋণাত্মক চার্জ, একটি ইলেকট্রন ও একটি প্রোটনের চার্জ সমান। একটি ইলেকট্রন বা প্রোটনের চার্জই ন্যূনতম চার্জ এবং এর মান ° 1.60×10-19 কুলম্ব ।
একটি প্রোটনের ভর হলো 1.67×10-27 কিলোগ্রাম এবং ইলেকট্রনের ভর 9.11×10-31 কিলোগ্রাম। স্বাভাবিক অবস্থায় একটি পরমাণুতে সমান সংখ্যক ইলেকট্রন ও প্রোটন থাকে। যেহেতু এদের পরস্পরের চার্জ সমান এবং বিপরীতধর্মী সুতরাং পরমাণু তড়িৎ নিরপেক্ষ।
সমস্ড ইলেকট্রন নিউক্লিয়াসের সাথে তড়িৎ বল দ্বারা আকৃষ্ট থাকে। পরমাণুর সবচেয়ে বাইরের কক্ষের ইলেকট্রন বা ইলেকট্রনগুলো নিউক্লিয়াস থেকে দূরবর্তী হওয়ায় এদের উপরে নিউক্লিয়াসের আকর্ষণ বল তুলনামূলকভাবে খুবই কম, ফলে এরা নিউক্লিয়াসের সাথে হালকভাবে আবদ্ধ থাকে। ঘর্ষণ, তাপ প্রয়োগ, তড়িৎ আকর্ষণ ইত্যাদি দ্বারা এদেরকে সহজেই পরমাণু থেকে মুক্ত করা যায়। এ ইলেকট্রণগুলোকে মুক্ত ইলেকট্রন বলে।
তড়িৎ নিরপেক্ষ পরমাণু অপর কোনো পরমাণুকে ইলেকট্রন দান করলে, যে পরমাণু ইলেকট্রন দান করে তাকে ধনাত্মক তড়িতাহিত বস্তু বলে এবং দানকারী পরমাণুর এ অবস্থাকে বলা হয় ধনাত্মক তড়িতাহিত হওয়া। অপরক্ষে যে পরমাণু ইলেকট্রন গ্রহণ করে তাকে ঋণাত্মক তড়িতাহিত বস্তু বলে এবং গ্রহণকারী পরমাণুর এ অবস্থাকে বলা হয় ঋণাত্মক তড়িতাহিত হওয়া।
উদাহরণস্বরূপ বলা যায় সাধারণ অবস্থায় কাচদরে পরমাণুসমূহে প্রোটন এবং ইলেকট্রণের সংখ্যা সমান থাকায় তা তড়িৎ নিরপেক্ষ থাকে। কাচদকে রেশমের কাপড় দিয়ে ঘর্ষণের ফলে দরে পরমাণুসমূহ থেকে কিছু সংখ্যক ইলেকট্রন বিচ্ছিন্ন হয়ে রেশমের কাপড়ের সাথে যুক্ত হয়। রেশমের কাপড়ে ইলেকট্রন যুক্ত হওয়ায় এটি ঋণাত্মক তড়িতাহিত হয়। অন্যদিকে কাচদ”ে ইলেকট্রন কমে যাওয়ায়, এতে ইলেকট্রনের সংখ্যার চেয়ে প্রোটনের সংখ্যা বেশি হয়, ফলে এটা ধনাত্মক তড়িতাহিত হয়।
একইভাবে পণ্ডাস্টিক দীকে পশম দ্বারা ঘষলে পশম থেকে কিছু সংখ্যক ইলেকট্রন বিচ্ছিন্ন হয়ে পণ্ঢাষ্টিক দ ेে যাওয়ায় পণ্ডাষ্টিক দ—টি ঋণাত্মক তড়িতাহিত এবং পশম ধনাত্মক তড়িতাহিত হয়। ইবোনাইট দীনে ফ্লানেলের সাথে ঘষলে ইবোনাইট দ ঋণাত্মক তড়িতাহিত এবং ফ্লানেল ধনাত্মক তরিতাহিত হয়।
কাচ বা ইবোনাইট দকে ঘষলে যে ধনাত্মক বা ঋণাত্মক আধানের উদ্ভব হচ্ছে তা কাচ বা ইবোনাইটের নিজস্ব বিশেষ কোন ধর্মের জন্য নয়। কাচদকে সকল বস্তু দিয়ে ঘষলেই যে এতে ধনাত্মক আধানের সঞ্চার হবে তা নয় অপরপক্ষে ইবোনাইট দ—কে সকল বস্তু দিয়ে ঘষলে যে ঋণাত্মক আধানের সঞ্চার হবে তাও নয়।
যেমন কাচদকে রেশ দিয়ে ঘষলে ধনাত্মক আধানে এবং পশম দিয়ে ঘষলে ঋণাত্মক আধানের উদ্ভব ঘটে। সুতরাং কোনো বস্তুতে কি আধানের উদ্ভব ঘটবে, তা আপেক্ষিক এবং যে বস্তুদ্বয়ের মধ্যে ঘর্ষণ হচ্ছে তাদের পারস্পরিক প্রকৃতির উপর নির্ভরশীল।
নিচে কিছু বস্তুর তালিকা (সারণি ১.১) প্রদান করা হল। তালিকায় উলেণ্ঢখিত বস্তুরগুলির মধ্যে দু’টি বস্তুকে পরস্পরের সাথে ঘসলে ধনাত্মক আধান এবং ঋণাত্মক আধানের সঞ্চার হয়।
তালিকায় যে বস্তুর অবস্থান ওপরে সে বস্তুতে ধনাত্মক আধান এবং যে বস্তুর অবস্থান নিচে সেটি ঋণাত্মক আধানের
সঞ্চার হবে।

আধানের কোয়ান্টায়ন
আধানের কোয়ান্টায়ন বলতে বুঝায় যে, প্রকৃতিতে যে কোনো বস্তুর সর্বমোট আধান একটি নির্দিষ্ট ন্যূনতম মানের পূর্ণ সংখ্যক গুণিতক, ইলেকটনের আধান হচ্ছে এ নির্দিষ্ট ন্যুনতম মান, ইলেকট্রনের আধান e ধরলে কোনো বস্তুর মোট আধান হবে, q=ne। এখানে ” হচ্ছে ধনাত্মক বা ঋণাত্মক পূর্ণসংখ্যা।
আমরা জানি ইলেকট্রনের আধান e =1.6×10 “C । সুতরাং কোন বস্তুতে ইলেকট্রনের আধান হতে পারে 3e বা 3×1.6×10 “C – 7e বা – 7×1.6×10-9 C অর্থাৎ ইলেকট্রনের আধানের মানকে এ নির্দিষ্ট ন্যূনতম মান ধরে তার পূর্ণ সংখ্যক গুণিতক। কিন্তু কোনো বস্তুতে আধান 5.2e হতে পারে না কারণ 5.2 ভগ্নাংশ পূর্ণ সংখ্যা নয় ।
সুতরাং কোনো বস্তুতে কোনো আধানের মান নিরবচ্ছিন্ন হতে পারে না, আধান বিচ্ছিন্ন মানের বা ইলেকট্রনের আধানের গুণিতক হবে। একে আধানের কোয়ান্টায়ন বলে ।
আধানের নিত্যতা বা সংরক্ষণশীলতা
পৃথিবীতে মোট আধানের পরিমাণ সর্বদা একই থাকে। অর্থাৎ আধানের সৃষ্টি বা ধ্বংস নেই। কোন ভৌত প্রক্রিয়া যেমন ঘর্ষণ, তাপ প্রয়োগ, তড়িৎ আকর্ষণ ইত্যাদি দ্বারা শুধুমাত্র এক বস্তু থেকে অন্য বস্তুতে আধানের স্থানান্ত্র ঘটে, কিন্তু উভয় বস্তুর মোট ইলেকট্রন এর প্রোটন সংখ্যার যোগফল একই থাকে।
যেমন- কাচ দীকে রেশম কাপড় দ্বারা ঘসলে কাচদ থেকে কিছু সংখ্যক ইলেকট্রন রেশম কাপড়ে চলে যায়, ফলে কাচদ েপ্রোটনের সংখ্যা ইলেকট্রনের সংখ্যা থেকে বেশী থাকে। এ কারণে কাচদ— ধনাত্মক চার্জযুক্ত ও রেশমের কাপড় সম পরিমাণে ঋণাত্মক চার্জযুক্ত হয়। কিন্তু উভয় বস্তু মিলিয়ে মোট প্রোটন এবং ইলেকট্রনের সংখ্যা একই থাকে। ঘর্ষণের ফলে নুতন কোন আধানের সৃষ্টি হয় না কেবল এক বস্তু থেকে অন্য বস্তুতে আধানের স্থানা ঘটে।
বিন্দু আধান
আহিত বস্তুগুলির আকার এদের মধ্যবর্তী দূরত্বের তুলনায় খুবই ছোট হলে আহিত ঐ বস্তুগুলোকে বিন্দু চার্জ বলে ।
কুলম্বের সূত্র
তড়িৎ বল : একটি আহিত স্থির বস্তুর নিকট অন্য একটি আহিত বস্তু আনলে বস্তু দু’টির মধ্যে একটি বল কাজ করবে, আহিত বস্তু দু’টি যদি সমধর্মী আধান অর্থাৎ দু’টি বস্তুই ধনাত্মক বা দু’টি বস্তুই ঋণাত্মক আধানে আহিত হয় তবে পরস্পরের মধ্যে বিকর্ষণ বল কাজ করবে, আবার আহিত বস্তু দু’টি বিপরীতধর্মী অর্থাৎ একটি বস্তু ধনাত্মক আধানে এবং অপর বস্তু ঋণাত্মক আধানে আহিত হয় তবে পরস্পরের মধ্যে আকর্ষণ বল কাজ করবে, এ বিকর্ষণ বা আকর্ষণ বলকে তড়িৎ বল বলে ।
দু’টি আধানের মধ্যবর্তী এ আকর্ষণ বা বিকর্ষণ বলের মান নির্ভর করে,
১. আধান দু’টির পরিমাণের উপর,
২. আধান দু’টির মধ্যবর্তী দূরত্বের উপর,
৩. আধান দু’টি যে মাধ্যমে অবস্থিত তার প্রকৃতির উপর ।
কুলম্বের সূত্র
১৭৮৫ খ্রিস্টাব্দে ফরাসী বিজ্ঞানী চার্লস অগাষ্টিন কুলম্ব, স্থির আধানে আহিত বস্তুর মধ্যে ক্রিয়াশল বলের একটি সূত্র আবিষ্কার করেন যা তাঁর নাম অনুসারে ‘কুলম্বের সূত্র’ নামে পরিচিত।
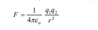
সূত্র : কোনো নির্দিষ্ট মাধ্যমে দু’টি বিন্দু আধানের পারস্পরিক আকর্ষণ বা বিকর্ষণ বলের মান আধানদ্বয়ের গুণফলের সমানুপাতিক এবং আধানের মধ্যবর্তী দূরত্বের বর্গের ব্যানুপাতিক। এই ক্রিয়াশীল বল আধানদ্বয়ের সংযোজক সরলরেখা
বরাবর ক্রিয়া করে।
ব্যাখ্যা: ধরা যাক, কোনো মাধ্যমে দুটি বিন্দু আধান 91 ও 92 পরস্পর থেকে ‘,’ দূরত্বে অবস্থিত (চিত্র ১.২)। বিন্দু আধানদ্বয়ের মধ্যে আকর্ষণ বা বিকর্ষণ বল F হলে, কুলম্বের সূত্রানুসারে,

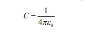
শূন্যস্থানে কুলম্বের সূত্র
এস আই (SI) পদ্ধতিতে শূন্য মাধ্যমে এই সমানুপাতিক ধ্রুবককে লেখা যায়-


এখানে, & (Epsilon not) হলো শূন্য মাধ্যমের ভেদন-যোগ্যতা (Permittivility of free space)- সমীকরণ (১.২)-এর সবগুলো রাশিকে SI এককে প্রকাশ করলে & এর মান পাওয়া যায়, E-8.854×10-12C2N-‘m²

যে কোন মাধ্যমে কুলম্বের সূত্র
আমরা জানি, দুটি আধানের মধ্যে আকর্ষণ বা বিকর্ষণ বল শুধু আধানের পরিমাণ ও তাদের মধ্যবর্তী দূরত্বের উপর নির্ভর করে না, আধানদ্বয় যে মাধ্যমে অবস্থিত তার প্রকৃতির উপরও নির্ভর করে। মাধ্যমর যে তড়িৎ ধর্মের ওপর এ বল নির্ভর করে তা হচ্ছে মাধ্যমের ভেদনযোগ্যতা। এখন যদি মাধ্যমের ভেদনযোগ্যতাকে (Epsilon) দ্বারা প্রকাশ করা হয় এবং আধান দুটি শূন্যমাধ্যমের পরিবর্তে ভেদনযোগ্যতা বিশিষ্ট কোনো মাধ্যমে অবস্থিত হলে কুলম্বের সূত্রের (১.২) সমীকরণকে লেখা যায়-

আধানদ্বয়ের মধ্যবর্তী স্থানে কোনো অক পদার্থ থাকলে তাকে সাধারণত পরাবৈদুত্যিক মাধ্যম বলা হয় ।
কুলম্বের সূত্রের ভেক্টররূপ
দুটি আধানের মধ্যে ক্রিয়াশীল বল F একটি ভেক্টর রাশি, সুতরাং কুলম্বের সূত্রকে ভেক্টর রূপে প্রকাশ করা যায়, ভেক্টরের সাহায্যে সমীকরণ (২.২) কে লেখা যায়,

এক কুলম্ব চার্জ (1C) :
আমরা জানি, শূন্য মাধ্যমে কুলম্বের সূত্র

SI পদ্ধতিতে তড়িৎ চার্জের এক কুলম্ব, কুলম্বের সূত্র থেকে 1 কুলম্ব চার্জের সংজ্ঞা দেয়া যায়।
উপরের সূত্রে, যদি F =9x10N,91 = 92 = q coulomb এবং r = 1m বসানো হয়, তবে q=1 বা, q= °1C হবে, অর্থাৎ সমধর্মী এবং সমমানের দুটি চার্জকে শূন্য মাধ্যমে পরস্পর থেকে 1m দূরত্বে স্থাপন করলে এদের মধ্যে বিকর্ষণ বলের মান যদি 9×10° N হয় তবে ঐ চার্জ দুটির প্রত্যেকটিকে একক চার্জ বা IC চার্জ বলে।
তড়িৎ মাধ্যমাঙ্ক বা পরাবৈদ্যুতিক ধ্রুবক (Dielectric Constant)
আমরা জানি, দুটি আধানের মধ্যে ক্রিয়াশীল বল শুধু আধানদ্বয়ের পরিমাণ ও তাদের মধ্যবর্তী দূরত্বের উপর নির্ভর করে না, আধানদ্বয় যে মাধ্যমে অবস্থিত তার প্রকৃতির উপরও নির্ভর করে। আধানদ্বয়ের মধ্যবর্তী স্থানে কোনো অক পদার্থ থাকলে, তাকে সাধারণভাবে পরাবৈদ্যুতিক মাধ্যম (Dielectric medium) বলে। কোনো পরাবৈদ্যুতিক মাধ্যমে নির্দিষ্ট দূরত্বে দুটি নির্দিষ্ট আধানের মধ্যবর্তী বলের মান শূন্য মাধ্যমের চেয়ে কম হয়।
সংজ্ঞা: দুটি আধানের মধ্যে নির্দিষ্ট দূরত্বে শূন্যস্থানে ক্রিয়াশীল বল এবং ঐ দু’টি আধানের মধ্যে একই দূরত্বে কোনো পরাবৈদ্যুতিক মাধ্যমে ক্রিয়াশীল বলের অনুপাত ঐ মাধ্যমের জন্য ধ্র“ব সংখ্যা হয়। এ ধ্র“ব সংখ্যাকে ঐ মাধ্যমের তড়িৎ মাধ্যামাঙ্ক বা পরাবৈদ্যুতিক ধ্রুবক বলা হয় একে K দ্বারা প্রকাশ করা হয়।

দুটি একই জাতীয় রাশির অনুপাত বলে K এর কোনো একক নেই ।
কাচের তড়িৎ মাধ্যামাঙ্ক 7 বলতে বোঝায়, দুটি আধান যদি কাচ মাধ্যমে একটি নির্দিষ্ট দূরত্বে অবস্থান করে, তবে আধান দুটির মধ্যে যে বল ক্রিয়া করে তার মান শুন্যস্থানে একই দূরত্বে অবস্থিত দুটি আধানের মধ্যবর্তী ক্রিয়াশীল বলের মানের 7 গুণ হবে। এখন (১.২) এবং (১.৩) সমীকরণ থেকে F এবং Fm (১.৫) সমীকরণে বসিয়ে পাই—

এই সমীকরণ থেকে দেখা যায়, কোন মাধ্যমের ভেদনযোগ্যতা ও শূণ্যস্থানের ভেদনযোগ্যতার অনুপাত হলো ঐ মাধ্যমে তড়িৎ মাধ্যমাঙ্ক, এজন্য তড়িৎ মাধ্যমাঙ্ককে আপেক্ষিক ভেদনযোগ্যতাও বলা হয় ।

বায়ুর তড়িৎ মাধ্যামাঙ্ক K = 1.005 এই মান 1-এর খুব কাছাকাছি হওয়ার বায়ু মাধ্যমে কুলম্ব বল বা তড়িৎ বল নির্ণয়ের জন্য (১.৭) ব্যবহার না করে (১.২) অর্থাৎ শূন্যস্থানের জন্য যে সমীকরণ তা ব্যবহার করা হয়।
তড়িৎ বলের উপরিপাতন নীতি
কুলম্বের সূত্রে দুটি আধানের মধ্যে ক্রিয়াশীল বল সম্পর্কে আলোচনা করা হয়েছে। দুটি আধানের পরিবর্তে যদি অনেকগুলো আধান থাকে সেক্ষেত্রে একটি আধানকে বিবেচনায় নিয়ে, সে আধানের উপর অপর আধানগুলোর ক্রিয়াশীল বল পৃথকভাবে বের করে তাদের ভেক্টর যোগফল বের করলেই উক্ত আধানের উপর নিট ( net) বল পাওয়া যাবে। একে বলা হয় তড়িৎ বলের উপরিপাতন নীতি।

ব্যাখ্যা: ধরা যাক, n সংখ্যক বিন্দু আধান যথাক্রমে 91, 92, 93……… । ধরি q আধানটির উপর অন্যান্য আধানগুলোর প্রযুক্ত নিট (Net) বল হিসাব করতে হবে। যদি q1, 2, 3 ……… আধান কর্তৃক q আধানের উপর প্রযুক্ত বল যথাক্রমে
F12, F13 ………….. হয় (চিত্র ১.৩), তবে উপরিপাতন নীতি অনুসারে q। আধানের উপর ক্রিয়াশীল নিট (Net) বল,

এ নীতি প্রয়োগ করে যে কোন সংখ্যক আধানের জন্য একটি আধানের উপর ক্রিয়াশীল নিট বল হিসাব করা যায়।
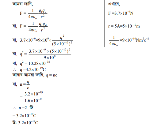
গাণিতিক উদাহরণ ১.১। সমভাবে চার্জিত দুটি গোলক বায়ু মাধ্যমে 5A দূরত্বে রাখলে পরস্পরকে 3.7×10^N বলে বিকর্ষণ করে। প্রত্যেক গোলকে চার্জের পরিমাণ নির্ণয় করন। প্রতিটি চার্জ কতটি ইলেকট্রন হারাবে?

গাণিতিক উদাহরণ ১.২। সমভাবে আহিত দুটো শোলাবল বায়ুতে 2.0mm ব্যবধানে রাখলে পরস্পরকে 4.5x10N বলে বিকর্ষণ করে। প্রত্যেক শোলাবলে আধানের পরিমাণ নির্ণয় কর।

গাণিতিক উদাহরণ ১.৩। একটি পিথবল A-তে 5×10 ° C ধনাত্মক চার্জ আছে এবং এর ভর 8g। অন্য একটি পিথবল B তে কত পরিমাণ এবং কী ধরনের চার্জ দিলে A পিথবলকে 5cm খাড়া উপরে স্থির অবস্থায় রাখতে পারবে?
এখানে A পিথবলে চার্জ, q 1 = 5×10 kg
A পিথবলের ভর, m=8x10kg
A পিথবলের ওজন mg খাড়া নিচের দিকে ক্রিয়া করে এবং A পিথবলের উপর B পিথবলের বিকর্ষণ বল F খাড়া উপরের দিকে ক্রিয়া করবে।

সার-সংক্ষেপ :
- আধান: ঘর্ষণের ফলে কোনো বস্তুতে যার উপস্থিতিতে, সে বস্তু দ্বারা অন্য কোনো বস্তু বা বস্তু কণাকে আকর্ষণ করার শক্তির উৎপন্ন হয় তাকে আধান বা চার্জ বলে।
- তড়িৎ: স্থির বা গতিশীল আধানের প্রকৃতি ও প্রভাব বা ক্রিয়াকে তড়িৎ বলে ।
- তড়িৎ দুই প্রকার, যথা- স্থির তড়িৎ ও চল তড়িৎ।
- স্থির তড়িৎ: স্থির আধানের প্রভাব বা ক্রিয়াকে স্থির তড়িৎ বলে ।
- চল তড়িৎ: গতিশীল আধানের প্রভাব বা ক্রিয়াকে চল তড়িৎ বলে।
- কুলম্বের সূত্র : কোনো নির্দিষ্ট মাধ্যমে দু’টি বিন্দু আধানের পারস্পরিক আকর্ষণ বা বিকর্ষণ বলের মান আধানদ্বয়ের গুণফলের সমানুপাতিক এবং আধানের মধ্যবর্তী দূরত্বের বর্গের ব্যানুপাতিক। এই ক্রিয়াশীল বল আধানদ্বয়ের সংযোজক সরলরেখা বরাবর ক্রিয়া করে।
