পদার্থবিদ্যায় নিউটনের তিনটি সূত্র : ক্লাসিকাল ফিজিক্সে নিউটনের সূত্রগুলিকে বলা হয় পদার্থবিজ্ঞানের হৃদয়। বিজ্ঞানী নিউটন তিনটি সূত্র দিয়েছেন যা ভর, গতি, ভরবেগ এবং বল নিয়ে আলোচনা করে।
মনে করুন, আপনি আপনার সামনে একটি থেমে থাকা ফুটবলকে পা দিয়ে সামান্য ধাক্কা দিলেন। দেখা গেলো তা সহজেই সামনের দিকে একটু এগিয়ে গেলো।

[ পদার্থবিদ্যায় নিউটনের তিনটি সূত্র ]
আবার একটি সামনে থাকা প্রাইভেট কারকে একই সমান ধাক্কা দিয়ে সামনে আগানোর চেষ্টা করলেন। দেখা গেলো তা কিন্তু আগালো না।

আবার মনে করুন, একটি বাচ্চা ছোট সাইকেলে করে এগিয়ে যাচ্ছে, অদূরে একটি ট্রাক দেখতে পেয়ে আপনি বাচ্চাটির সাইকেলটিকে পেছন থেকে টেনে ধরে থামানোর চেষ্টা করলেন এবং দেখা গেলো থামাতেও পারলেন।

একই সমান টান প্রয়োগ করে আপনি চাইলে কি চলন্ত ট্রাকটিকে থামাতে পারতেন?

এক্ষেত্রে ফুটবল , প্রাইভেট কার, ছোট সাইকেল এবং ট্রাকের ক্ষেত্রে দেখা যাচ্ছে ফুটবল এবং ছোট সাইকেল উভয়ের ভর কম এবং প্রাইভেট কার কিংবা ট্রাক, উভয়ের ভর অত্যন্ত বেশি। আরেকটি বিষয় লক্ষ্য করুন,কম ভরের ফুটবলকে গতিশীল করা এবং ছোট সাইকেলকে থামানো সহজ কিন্তু অধিক ভর বিশিষ্ট প্রাইভেট কারকে গতিশীল করা কিংবা ট্রাককে থামানো কঠিন।
অন্যভাবে বলতে গেলে, বেশি ভরের বস্তুগুলো তাদের স্থিতিশীলতা বা গতিশীলতা অর্থাৎ সম্পুর্ণ গতীয় অবস্থা বজায় রাখতে অধিকতর প্রবনতা প্রদর্শন করছে এবং কম ভরের বস্তু গুলো তাদের গতীইয় অবস্থা সংরক্ষণে বিপরীত ধর্ম প্রদর্শন করছে। বস্তুর নিজের অবস্থা বজায়ে রাখতে চাওয়ার যে প্রবনতা একে পদার্থ বিজ্ঞানের ভাষায় জড়তা বলা হয়। কোন বস্তুর ভর যত বেশি, তার জড়তা তত বেশি হয়ে থাকে। আবার বস্তুর ভর যত কম, তার জড়তা তত কম । জড়তা মূলত বস্তুর ভরের পরিমাপ।
আবার ধরুন, আপনি স্থির কোন বাসে বসে আছেন। বাসটি কিছুক্ষণ পর হঠাৎ চলতে শুরু করলো। আপনি লক্ষ্য করে থাকবেন, আপনি কিছুটা পেছনের দিকে হেলে পড়লেন। আবার চলন্ত বাসটি হঠাৎ করে ব্রেক কষে থেমে গেলো, লক্ষ্য করলে দেখা যাবে আপনি সামনের দিকে ঝুঁকে পড়েছেন । শুধু আপনি নন, বাসে থাকা সবার ক্ষেত্রেই এরকম ঘটনা ঘটছে।
আপনার কিংবা অন্যান্য যাত্রিদের স্বীয় গতীয় অবস্থা বজায়ে রাখতে চাওয়ার এ প্রবনতাই জড়তা। স্থির অবস্থায় থাকার পর গতিশীল হতে চাওয়ার পর যা আমাদের বাধা প্রদান করলো তা স্থিতি জড়তা।যা বাসটি চলার শুরুতে যাত্রীরা দেখতে পায়। অন্যদিকে গতিশীল অবস্থায় থাকা অবস্থায় স্থিতিশীল হতে যা আমাদের বাধা প্রদান করে তা গতি জড়তা। যা তারা বাসটি থামার সময়ে অনুভব করে।

কাজেই কোন বস্তুর গতিশীলতা বা স্থিতিশীলতা পরিবর্তণ করার ক্ষেত্রে তাহলে একটা বিশেষ কিছু প্রয়োগের প্রয়োজন পড়ছে তা বুঝাই যাচ্ছে, এই বিশেষ কিছু, যা প্রয়োগ করলে স্থিতিশীল বস্তু গতিশীল হয় বা হতে চায় কিংবা কোন গতিশীল বস্তু স্থিতিশীল হয় বা হতে চায়, তাকেই পদার্থবিজ্ঞানের ভাষায় বল বলা হয়।
১৬৮৭ সালে, স্যার আইজাক নিউটন তার গ্রন্থ “ন্যাচারালিস, ফিলোসফিয়া প্রিন্সিপিয়া ম্যাথমেটিকা” বইতে তিনটি সূত্র প্রদান করেন।

সূত্র তিনটি বস্তুর ভর,গতি ও বলের মধ্যে সম্পর্ক স্থাপন করে দেখায়। এই সূত্র তিনটিকে নিউটনের গতিসুত্র নামে আখ্যায়িত করা হয়।
নিউটনের প্রথম সুত্র মূলত আমাদের বল ও জড়তার ধারণার সাথে পরিচিতি দেয়। এই সূত্রানুসারে, “বাহ্যিক বল প্রয়োগ না করা হলে স্থির বস্তু চিরকাল স্থির থাকে এবং গতিশীল বস্তু সমদ্রুতিতে সরলপথে চলতে থাকবে।” অর্থাৎ কোন বস্তুকে গতিশীল করার জন্য যেমন বলের প্রয়োজন তেমনি গতিশীল বস্তুর স্থিতিশীলতা আনার জন্যেও বলের প্রয়োজন। বল প্রযুক্ত না হলে গতিশীল বস্তুর যে শেষ বেগ থাকে , সে তা নিয়েই সরল পথে চলতে থাকে। বস্তুজগতে কোন প্রকার বলের প্রভাবেই নেই এমন বস্তু পাওয়া সম্ভব নয়।

নিউটনের দ্বিতীয় সূত্র বল ও বস্তুর ভরবেগের মধ্যে সম্পর্ক নির্দেশ করে। এ সূত্রানুসারে,”বস্তুর ভরবেগের পরিবর্তণের হার, এর উপর প্রযুক্ত বলের সমানুপাতিক এবং বল প্রয়োগের দিক এবং ভরবেগের পরিবর্তণ এর দিক একই হয়। এই সম্পর্ক থেকেই পরবর্তিতে F=ma সমীকরণটি প্রতিপাদন করা সম্ভব হয়। বস্তুর ভরবেগের পরিবর্তন বলতে বোঝায় এর শেষ ভরবেগ ও আদি ভরবেগের বিয়োগফল।

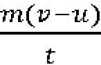
মনে করা যাক, m kg ভরের কোন বস্তুর আদিবেগ u মিটার/ সেকেন্ড। বস্তুটি t সেকেন্ড সময় ধরে ত্বরাণ্বিত হয়ে, শেষ বেগ v মিটার/ সেকেন্ড প্রাপ্ত হলো। বস্তুর আদি ভর বেগ হবে, mu kgm/s বস্তুর শেষভরবেগ হবে, mv kgm/s. সুতরাং এর ভরবেগের পরিবর্তন হবে t সেকেন্ডে (mv-mu)kgm/s. তাহলে সময়ের সাপেক্ষে বস্তুটির ভরবেগ পরিবর্তণের হার হবে,
![]()
kgm/s2 এখন,
= ![]()
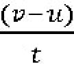
আমরা জানি যে কোন নির্দিষ্ট দিকে বেগের পরিবর্তনের হার এর ত্বরণের সমান। অর্থাৎ
a=
কাজেই ,
= ![]()
নিউটনের দ্বিতীয় সূত্রানুসারে , ma∝F
বা ma=kF [k= সমানুপাতিক ধ্রুবক]
k=1 পাওয়া যায়। কাজেই F=ma সুত্রটি প্রতিষ্ঠিত হয় যা পরবর্তিতে অসংখ্য তত্তীয় এবং ফলিত পদার্থবিজ্ঞানে ব্যাপক ভাবে ব্যাবহ্ৃত হয়।
এবং নিউটনের তৃতীয় সূত্রানুসারে, “প্রত্যেক ক্রিয়ারই একটি সমান এবং বিপরীত প্রতিক্রিয়া আছে। নিউটনের তৃতীয় সূত্রানুসারে মহাজগতের সমস্ত বল জোড়ায় জোড়ায় থাকে। ক্রিয়া প্রযুক্ত হলে অবশ্যই প্রতিক্রিয়া থাকবে।

থাকবে মনে করা যাক কোন বস্তু ক, অন্য আরেকটি বস্তু খ এর উপর F নিউটন বল প্রয়োগ করলো। খ বস্তুটি প্রতিক্রিয়া হিসেবে অবশ্যই -Fনিউটন বল প্রয়োগ করবে। – চিহ্নটি বিপরীত দিকের জন্য এসেছে।


1 thought on “পদার্থবিদ্যায় নিউটনের তিনটি সূত্র”