পানির স্ফুটনাঙ্ক

পানির স্ফুটনাঙ্ক – পাঠটি কারিগরি শিক্ষা বোর্ড এর পলিটেকনিক এর “পদার্থবিজ্ঞান ২” বিষয়ের “থার্মোমিতি ” অধ্যায়ের একটি পাঠ।

 

পানির স্ফুটনাঙ্ক ও গলনাঙ্কের সাহায্যে সেলসিয়াস স্কেলের দাগাঙ্কন পরিচয়

 

তাপ (Heat) :

যে বাহ্যিক ভৌত কারণে (External Physical Cause) কোনো বস্তু উষ্ণ ও শীতলতার অনুভূতি সৃষ্টি করে তাকে তাপ বলে । তাপ এক প্রকার শক্তি। একে অদৃশ্য শক্তিও (Invisible Energy) বলা হয়। তাপের কোনো আকার, আয়তন, ভর, বর্ণ বা গন্ধ নাই, শুধুমাত্র কোনো বস্তুতে প্রয়োগ করলে বস্তুটি উত্তপ্ত হয়ে উঠে এবং অপসারণ করলে তা শীতলতা প্রাপ্ত হয়। অন্যান্য শক্তির ন্যায় তাপ শক্তি অন্য শক্তিতে রূপান্তরিত হয় এবং অন্য শক্তিতে রূপান্তরিত হয়ে তাপ শক্তির বিকাশ ঘটে ।

 

থার্মোমিটারের স্থিরাঙ্ক (Fixed point of a thermometer) :

কোনো থার্মোমিটারকে দাগাঙ্কিত করতে হলে দু’টি স্থিরাঙ্ক নির্ণয় করতে হয়। এর মধ্যবর্তী ব্যবধান সমান ভাগে ভাগ করতে হয়। এই দু’টি স্থিরাঙ্কে একটিকে নিম্ন স্থিরাঙ্ক এবং অপরটিকে ঊর্ধ্ব স্থিরাঙ্ক বলা হয়। এই দাগ দু’টি সকল থার্মোমিটারের নির্দিষ্ট তাপমাত্রা নির্দেশ করে ।

সেলসিয়াস বা পারদ থার্মোমিটারের নিম্ন স্থিরাঙ্ককে বরফের গলনাঙ্ক দ্বারা এবং ঊর্ধ্ব স্থিরাঙ্ককে পানির স্ফুটনাঙ্ক দ্বারা নির্দেশ করা হয়। নিম্ন স্থিরাঙ্ক ও ঊর্ধ্ব স্থিরাঙ্কে মধ্যবর্তী তাপমাত্রার ব্যবধানকে মৌলিক দূরত্ব (Fundamental distance) বলে। এই মৌলিক দূরত্বকে কয়েকটি সমানভাগে ভাগ করা হয় এবং প্রত্যেক ভাগকে এক ডিগ্রি বলা হয়।

 

থার্মোমিটারের স্থিরাঙ্ক নির্ণয় পদ্ধ:

নিম্নে থার্মোমিটারের স্থিরাঙ্ক নির্ণয় পদ্ধতি আলোচনা করা হল ঃ

(ক) নিম্ন স্থিরাঙ্ক নির্ণয় :

স্বাভাবিক বায়ুচাপে (760 মিলিমিটার পারদ চাপে) যে তাপমাত্রায় বিশুদ্ধ বরফ গলে তাকে সেলসিয়াস বা পারদ থার্মোমিটারের নিম্ন স্থিরাঙ্ক হিসেবে ধরা হয়।

একটি ফানেলে কিছু বরফ নিয়ে একটি স্ট্যান্ডের সাথে আটকিয়ে নিচে একটি বিকার রাখা হয়। এই বিকারে বরফ গলা পানি জমতে থাকে। এ ফানেলের মধ্যে একটি সেলসিয়াস বা পারদ থার্মোমিটারের বাল্‌ব সম্পূর্ণরূপে ডুবানো হয়। বরফের সংস্পর্শে বালবের পারদ সংকুচিত হয় এবং কৈশিক নলে পারদের উচ্চতা কমতে থাকে ।

 

 

 

যখন পারদের তাপমাত্রা ও বরফের তাপমাত্রা সমান হয় তখন পারদ আর সংকুচিত হয় না এবং কৈশিক নলে পারদ স্থির থাকে। কাচনলে দাগ কেটে এই অবস্থা নির্দেশ করা হয়। এটাই থার্মোমিটারের নিম্ন স্থিরাঙ্ক ।

 

পানির স্ফুটনাঙ্ক ও গলনাঙ্কের সাহায্যে সেলসিয়াস স্কেলের দাগাঙ্কন পরিচয়

 

(খ) ঊর্ধ্ব স্থিরাঙ্ক নির্ণয় ঃ

স্বাভাবিক বায়ু চাপে (760 মিলিমিটার বায়ু চাপ) যে তাপমাত্রায় বিশুদ্ধ পানি ফুটে বাষ্পে পরিণত হয় তাকে সেলসিয়াস বা পারদ থার্মোমিটারের ঊর্ধ্ব স্থিরাঙ্ক হিসেবে ধরা হয়। ঊর্ধ্ব স্থিরাঙ্ক নির্ণয় করার জন্য হিপ্‌সোমিটার ব্যবহার করা হয় (চিত্র ঃ ১.২)।

এই যন্ত্রে একটি তামার তৈরি পানির আধার A আছে এবং এর উপর একটি খাড়া চোঙ B বসানো আছে। এই চোঙকে ঘিরে আর একটি বড় ধাতব চোঙ H বসানো থাকে। বড় চোঙের উপর একটি সেলসিয়াস বা পারদ থার্মোমিটার এমনভাবে স্থাপন করি যেন থার্মোমিটারের বাল্বটি পানির খুবই নিকটে পৌছে কিন্তু পানিকে স্পর্শ না করে। বড় চোঙের এক পার্শ্বে একটি বাষ্প নির্গমন নল (L) ও অপর পার্শ্বে বাষ্পচাপ মাপার জন্য ম্যানোমিটার (M) লাগানো থাকে।

 

এই হিপ্‌সোমিটারের পানিকে তাপ দিয়ে বাষ্পে পরিণত করা হয়। এই বাষ্পের সংস্পর্শে বালবের পারদ প্রসারিত হয় এবং কৈশিকনল দ্বারা উপরের দিকে উঠতে থাকে। যখন পারদের তাপমাত্রা বাষ্পের তাপমাত্রার সমান হয় তখন পারদ আর উপরের দিকে উঠে না। এই অবস্থায় পারদ স্তম্ভের মাথায় কাচনলে দাগ কেটে চিহ্নিত করা হয়। এটাই থার্মোমিটারের ঊর্ধ্ব স্থিরাঙ্ক ।

 

পানির স্ফুটনাঙ্ক ও গলনাঙ্কের সাহায্যে সেলসিয়াস স্কেলের দাগাঙ্কন পরিচয়

ঊর্ধ্ব স্থিরাঙ্ক নির্ণয় করার সময় যদি ম্যানোমিটারের দু’বাহুর উচ্চতা সমান না থাকে তবে বায়ুচাপ ও হিপসোমিটারের বাষ্প চাপ সমান থাকে না। এই অবস্থায় চাপ সংশোধন করতে হয়। প্রতি সেন্টিমিটার পারদ চাপ পরিবর্তনের জন্য পানির স্ফুটনাঙ্ক 0.37° সেলসিয়াস পরিবর্তন হয়। ম্যানোমিটারের উচ্চতার পার্থক্য থেকে অতিরিক্ত বাষ্পচাপ নির্ণয় করে বাষ্পের তাপমাত্রা নির্ণয় করা হয়।

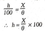
যদি বাষ্পের তাপমাত্রা ৪° সেলসিয়াস, স্বাভাবিক চাপে বাষ্পের তাপমাত্রা 100° সেলসিয়াস হয়, থার্মোমিটারের দু’স্থিরাংকের মধ্যে দূরত্বের পার্থক্য X হয় এবং প্রকৃত দূরত্ব h হয়, তবে

 

 

পানির স্ফুটনাঙ্ক ও গলনাঙ্কের সাহায্যে সেলসিয়াস স্কেলের দাগাঙ্কন পরিচয়

 

2 thoughts on “পানির স্ফুটনাঙ্ক”

Leave a Comment