ফার্মাটের নীতি ও আলোর প্রতিফলন ও প্রতিসরণ

আজকে আমরা ফার্মাটের নীতি ও আলোর প্রতিফলন ও প্রতিসরণ সম্পর্কে আলোচনা করবো। যা বাউবি এইচএসসি ২৮৭১ পদার্থ বিজ্ঞান ২য় পত্র ইউনিট ৬ জ্যামিতিক আলোকবিজ্ঞান এর অন্তর্ভুক্ত।

 

ফার্মাটের নীতি ও আলোর প্রতিফলন ও প্রতিসরণ

 

ফার্মাটের নীতি ও আলোর প্রতিফলন ও প্রতিসরণ

ফার্মাট নীতি (Fermat’s Principle):

আলোক রশ্মি এক বিন্দু থেকে অন্য বিন্দুতে যাবার সময় সম্ভাব্য সকল পথের মধ্যে সেই পথ অনুসরণ করে যে পথ সর্বনিম্ন সময়ে অতিক্রম করা যায়।

ফার্মাট নীতির গাণিতিক ব্যাখ্যা (Mathemetical form of Fermat’s principle)

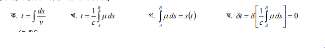
আমরা জানি, t = ∫dt এবং ds/dt = v

বা, dt = ds/v

সুতরাং, t = ∫ds/v

শূন্য মাধ্যমে আলোর বেগ c এবং অন্য কোনো মাধ্যমে আলোর বেগ হলে,

মাধ্যমের পরম প্রতিসরণাঙ্ক, μ = c/v

বা, v = c/μ

অতএব, t = ∫(μ/c)ds = 1/c∫μds ……………….(1)

 

 

ফার্মাটের নীতি ও আলোর প্রতিফলন ও প্রতিসরণ

 

ফার্মাট নীতির জ্যামিতিক ব্যাখ্যা (Geometrical Explanation of Fermat’s Principle) :

মনে করি, A বিন্দু হতে একটি আলোক রশ্মি MOM’ দর্পণে প্রতিফলিত হয়ে B বিন্দুতে গমন করলো । A হতে B তে যাবার জন্য সম্ভব্য অনেকগুলো পথ হতে পারে। চিত্র (৬.৯)- এ ACB, AOB এবং APB পথ দেখানো হলো। এখন কোনটি আলোকীয় পথ অর্থাৎ সর্বনিম্ন পথ তা বের করতে হবে। কারণ যেহেতু মাধ্যম একই সেহেতু আলোর বেগ অপরিবর্তিত থাকবে। ফলে A হতে আলোক রশ্মি দর্পণে প্রতিফলিত B-তে যে পথেই যাক না কেন s =vt । সুতরাং s ক্ষুদ্রতম হলেt ও ক্ষুদ্রতম হবে ।

এখন, B হতে BM’ লম্ব অংকণ করি এবং B’ পর্যড় বর্ধিত করি যেন BM = B’M’ হয়। B’এর সাথে C, O  এবং P বিন্দুগুলো যোগ করি। সুতরাং, CB = CB’, OB = OB’ এবং PB = PB’ |

 

ফার্মাটের নীতি ও আলোর প্রতিফলন ও প্রতিসরণ

 

অতএব, AC + CB = AC + CB, AO + OB = AO + OB’ এবং AP + PB = AP + PB

O বিন্দুকে এমন ভাবে নেয়া হয়েছে যেন AOB’ একটি সরল রেখা হয়।

তাহলে, ∆ACB এবং ∆APB ক্ষেত্রে, AC + CB’ > AB’ এবং AP + PB’ > AB

সুতরাং, AB’ অর্থাৎ AO + OB পথ হলো ক্ষুদ্রতম ।

অতএব, A হতে আলোক রশ্মি দর্পণে প্রতিফলিত B বিন্দুতে যেতে AOB পথ অনুসরণ করবে।

ফার্মাট নীতির সাহায্যে প্রতিফলনের সূত্র প্রমাণ

আলোক রশ্মি কোনো মসৃণ তলদ্বারা প্রতিফলিত হবার সময় দুটি সুত্র মেনে চলে। প্রথম সূত্র: আপতিত রশ্মি, প্রতিফলিত রশ্মি এবং আপতন বিন্দুতে অংকিত অভিলম্ব একই সমতলে অবস্থান করে । দ্বিতীয় সূত্র: আপাতন কোণ ও প্রতিফলন কোণ পরস্পর সমান ।

প্রথম সূত্রের প্রমাণঃ

চিত্রে PQRS একটি সমতল দর্পণ। ABCD হলো সমতল দর্পণের উপর অভিলম্ব বরাবর একটি কাল্পনিক তল। COD হলো কাল্পনিক তল এবং দর্পণের স্পর্শ রেখা। ABCD কাল্পনিক তলে AO একটি আপতিত আলোক রশ্মি দর্পণের O বিন্দুতে আপতিত হয়ে OB পথে প্রতিফলিত হলো এবং ON হলো দর্পণের O বিন্দুতে অংকিত অভিলম্ব । সুতরাং AO, OB এবং ON একই ABCD তলে অবস্থিত।

এখন ধরা যাক, AO আলোক রশ্মি AO পথে আপতিত না হয়ে AO’ পথে আপতিত হয়ে O’ পথে প্রতিফলিত হলো। OO’ হলো PQRS দর্পণের তলে অবস্থিত এবং ABCD তলের উপর লম্ব। তাহলে ত্রিভুজ AOO’ এর AO’ এবং ত্রিভুজ BOO’ এর O’B হলো অতিভুজ। ফলে AO’ >AO এবং O’B>OB। তাহলে, AO’+ O’B > AO + OB ।

একই ভাবে A থেকে আলোক রশ্মি দর্পণ দিয়ে প্রতিফলিত হয়ে B তে ফিরে যেতে হলে O বিন্দু ছাড়া 00′ এর বর্ধিত রেখার উপর যে কোনো বিন্দু বিবেচনা করলে সে পথটি অবশ্যই AO + OB পথ অপেক্ষা বড় হবে। এটি ফার্মাট নীতির পরিপন্থি। কারণ অন্য সকল পথ বড় হওয়ায় আলোক রশ্মির A থেকে B তে যেতে বেশী সময় লাগবে। সুতরাং আপতিত রশ্মি AO, প্রতিফলিত রশ্মি OB এবং  আপতন বিন্দুতে অংকিত অভিলম্ব ON একই সমতল ABCD এ অবস্থান করে। এটিই আলোকের প্রতিফলনের প্রথম সূত্র।

 

ফার্মাটের নীতি ও আলোর প্রতিফলন ও প্রতিসরণ

 

গাণিতিক ভাবেও এই সূত্রটি ব্যাখ্যা করা যায়। নীচে গাণিতিক ব্যাখ্যা দেয়া হলো ।

চিত্রানুসারে, OO’ = x, AO = y এবং OB = z সুতরাং, AO’ = √(y² + x²), O’B = √( z² + x²)

আলোর বেগ c হলে, t =  (AO’ + O’B)/c = {√(y² + x²) + √( z² + x²)}/c

চিত্রানুসারে, x এর পরিবর্তনে আলোক রশ্মির পথ পরিবর্তিত হবে। সুতরাং, ফার্মাট নীতি অনুসারে, dt /dx = 0

সুতরাং, x এর সাপেক্ষে t কে ব্যবকলন করে পাই,

dt/ dx = 1/c d/dx [(y² + x²)½ + ( z² + x²)½]

বা, 1/2(y² + x²)½ x 2x + 1/2( z² + x²)-½ x 2x = 0

বা,  x(y² + x²)½ + x ( z² + x² )-½ = 0

বা,  x/√(y² + x²) + x( z² + x² )=0

বা, sin OAO’ + sin OBO’ = 0

এই সমীকরণটি সত্য হতে পারে যদি এবং একমাত্র যদি OAO = OBO’ = 0 ° হয়। ( 180° হলে 00′ = x দর্পণের সমাড়ালে থাকবে না।) আবার যদি, OAO’ = OBO = 0° হয় তবে, 00′ = x = 0 হবে।

সুতরাং, আপতিত রশ্মি, প্রতিফলিত রশ্মি এবং আপতন বিন্দুতে অংকিত অভিলম্ব একই সমতলে অবস্থান করে ।

দ্বিতীয় সূত্রের প্রমাণঃ

চিত্রে একটি MM’ সমতল দর্পণে প্রতিফলন দেখানো হলো। এখানে, NO হলো অভিলম্ব ।

যেহেতু NO||AM এবং AO এদেরকে ছেদ করেছে, সেহেতু NOA = OAM = i আবার, যেহেতু NO||BM এবং OB এদেরকে ছেদ করেছে, সেহেতু

NOB=OBM=r

চিত্রানুসারে, আলোক রশ্মি পথ, D = AO + OB এবং পিথাগোরাসের সূত্রানুসারে,

AO = √(h1 + x2), OB = √(h22 +(d-x)²)

সুতরাং, D = √(h1 + x2) + √(h22 +(d-x)²)

যদি মাধ্যমে আলোর বেগ c হয় তবে, t = D/c = 1/c[ (h12 + x2) + √(h22 +(d-x)²) ]

চিত্রানুসারে, x এর পরিবর্তনে আলোক রশ্মির পথে পরিবর্তিত হবে। সুতরাং ফার্মাট নীতি অনুসারে, dt /dx = 0

সুতরাং, x এর সাপেক্ষে t কে ব্যকলন করে পাই,

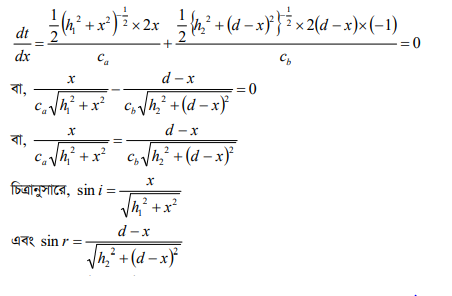
dt/dx = 1/c[1/2(h12 + x2)½ × 2x +1/2 { h22 + (d-x)² }½ × 2(d-x) × (-1)] = 0

বা, x/ √(h1 + x2) – (d-x)/√h²+(d-x)√(h22 +(d-x)² = 0

বা, x/ √(h1 + x2) = (d-x)/√h²+(d-x)√(h22 +(d-x)²

চিত্রানুসারে, sini = x/ √(h1 + x2)

এবং sin r = (d-x)/√h²+(d-x)√(h22 +(d-x)²

মান বসালে, sini = sin r

i = r। এটিই প্রতিফলনের দ্বিতীয় সূত্র।

 

ফার্মাটের নীতি ও আলোর প্রতিফলন ও প্রতিসরণ

 

ফার্মাট নীতির সাহায্যে প্রতিসরণের সূত্র প্রমাণ

আলোকরশ্মি যখন এক স্বচ্ছ সমসত্ব মাধ্যম থেকে অন্য আর এক স্বচ্ছ সমসত্ব মাধ্যমে তীর্যক ভাবে প্রবেশ করে তখন এই দুই মাধ্যমের বিভেদ তলে এটি দিক পরিবর্তন করে। দুই মাধ্যমের বিভেদ তলে আলোকরশ্মির এই দিক পরিবর্তনকে আলোকের প্রতিসরণ বলে।

আলোকের প্রতিসরণের দুইটি সূত্র মেনে চলে।

প্রথম সূত্র:

আপতিত রশ্মি, প্রতিসরিত রশ্মি এবং বিভেদ তলের আপাতন বিন্দুতে অংকিত অভিলম্ব একই সমতলে অবস্থান করে।

দ্বিতীয় সূত্র বা স্নেলের সূত্র:

এক জোড়া নির্দিষ্ট স্বচ্ছ সমসত্ব মাধ্যম এবং তীর্যকভাবে আপতিত নির্দিষ্ট বর্ণের একটি আলোক রশ্মির জন্য আপাতন কোণের সাইন ও প্রতিসরণ কোণের সাইনের অনুপাত একটি ধ্রুব সংখ্যা। একে প্রথম মাধ্যমের সাপেক্ষে দ্বিতীয় মাধ্যমের প্রতিসরণাঙ্ক বলে। একে 1 দ্বারা প্রকাশ করা হয়।

প্রতিসরণের সূত্র প্রমাণ

(৬.১২ নং) চিত্রে আলোর প্রতিসরণ দেখানো হলো। a হালকা স্বচ্ছ সমসত্ব মাধ্যম থেকে AO একটি আলোক রশ্মি MOM বিভেদ তলে O বিন্দুতে NON’ অভিলম্বের সাথে i কোণে আপতিত হয়ে ৮ ঘন স্বচ্ছ সমসত্ব মাধ্যমে NON’ অভিলম্বের সাথে । কোণে OB পথে প্রতিসৃত হলো। চিত্রে, AB অপর একটি আলোক রশ্মির পথ দেখানো হয়েছে।

এটি ক্ষুদ্রতম পথ। কিন্তু এই পথে আলোক রশ্মি ঘন মাধ্যমে OB পথ অপেক্ষা বড় পথ অতিক্রম করেছে। যেহেতু ঘন মাধ্যমে আলোর বেগ হালকা মাধ্যম অপেক্ষা কম সেহেতু এই পথ অতিক্রম করতে অধিক সময় প্রয়োজন। সুতরাং আলোক রশ্মি এই পথে গমন করবে না। যেহেতু NO||AM এবং AO এদেরকে ছেদ করেছে,সেহেতু NOA = OAM = i

আবার, যেহেতু ON ||MB এবং OB এদেরকে ছেদ করেছে, সেহেতু NOB=OBM’=r চিত্রানুসারে, আলোক রশ্মি পথ, D = AO + OB এবং পিথাগোরাসের সূত্রানুসারে,

AO = √(h12 + x2), OB = √{h22 + (d – x)2}

সুতরাং, D= √(h12 + x2) + √{h22 + (d – x)2}

যদি A মাধ্যমে আলোর বেগ ca এবং B মাধ্যমে আলোর বেগ Cb তবে,

AO পথ অতিক্রম করতে সময়,t1 = AO/ca = √(h12 + x2)/ca

এবং, OB পথ অতিক্রম করতে সময়, t2 = OB/Сь = √{h22 + (d – x)2}

অতএব, D পথ অতিক্রম করতে সময় t = t1 + t2 = √(h12 + x2) + √{h22 + (d – x)2}

চিত্রানুসারে, x এর পরিবর্তনে আলোক রশ্মির পথ পরিবর্তিত হবে। সুতরাং ফার্মাট নীতি অনুসারে, dt/ dx = 0

সুতরাং, x এর সাপেক্ষে t কে ব্যকলন করে পাই,

 

ফার্মাটের নীতি ও আলোর প্রতিফলন ও প্রতিসরণ

 

মান বসালে, sinI/ca =  sin r/cb = aμb, একটি ধ্রুবক ।

এটিই প্রতিসরণের দ্বিতীয় সূত্র অর্থাৎ স্নেলের সূত্র।

যদি, শূন্য মাধ্যমের সাপেক্ষে a মাধ্যমের প্রতিসারঙ্ক μa এবং শূন্য মাধ্যমের সাপেক্ষে b মাধ্যমের প্রতিসারঙ্ক μb হয় তবে আমরা

লিখতে পারি, aμb = μb/μa

অতএব, sin i/ sin r = μb/μa

বা, μa sini = μb sinr এটিও স্পেলের সূত্রের আর এক রূপ ।

সার-সংক্ষেপ :

ফার্মাট নীতি :

আলোক রশ্মি এক বিন্দু থেকে অন্য বিন্দুতে যাবার সময় সম্ভাব্য সকল পথের মধ্যে সেই পথ অনুসরণ করে যে পথ সর্বনিম্ন সময়ে অতিক্রম করা যায় ।

বহুনির্বাচনী প্রশ্নঃ

১। নীচের কোনটি ফার্মাট নীতির সমীকরণ?

 

ফার্মাটের নীতি ও আলোর প্রতিফলন ও প্রতিসরণ

 

২। ফার্মাট নীতির সাহায্যে;

i. প্রতিফলসের সূত্রগুলো ব্যাখ্যা করা যায়।

ii. প্রতিসরণের সূত্রগুলো ব্যাখ্যা করা যায়।

iii. আলোর অপবর্তন ব্যাখ্যা করা যায়।

কোনটি সঠিক?

ক. i ও ii

খ. ii ও iii

গ. i ও iii

ঘ. i, ii ও iii

Leave a Comment