বরফ গলনের সুপ্ততাপ – পদার্থবিজ্ঞান পদার্থ ও তার গতির বিজ্ঞান। বাংলায় “পদার্থবিজ্ঞান” শব্দটি একটি সমাসবদ্ধ পদ। “পদার্থ” ও “বিজ্ঞান” দুটি সংস্কৃত শব্দ নিয়ে এটি গঠিত। এর ইংরেজি পরিভাষা Physics শব্দটি গ্রিক φύσις (ফুঁসিস) অর্থাৎ “প্রকৃতি”, এবং φυσικῆ (ফুঁসিকে) অর্থাৎ “প্রকৃতি সম্পর্কিত জ্ঞান” থেকে এসেছে। পদার্থবিজ্ঞান বলতে বলা যেতে পারে এটা হলো গণিতের বাস্তব রূপ।
বরফ গলনের সুপ্ততাপ এবং পানির বাষ্পীভবনের সুপ্ততাপ নির্ণয়
(ক) বরফ গলনের সুপ্ততাপ নির্ণয় (Determination of latent heat of fusion of ice) :
বরফ গলনের সুপ্ততাপ নির্ণয় করতে নিম্নলিখিত পদ্ধতিগুলো ব্যবহার করা হয় :
১। মিশ্রণ পদ্ধতি;
২। ব্ল্যাকের বরফ ক্যালরিমিটারের সাহায্যে;
৩। বুনসেনের বরফ ক্যালরিমিটারের সাহায্যে।
নিম্নে দুটি পদ্ধতি আলোচনা করা হল—
১। মিশ্রণ পদ্ধতি (Mixture method) : কার্যপ্রণালি ঃ বরফ গলনের সুপ্ততাপ নির্ণয় করার জন্য প্রথমে একটি নাড়ানিসহ শুষ্ক ও পরিষ্কার ক্যালরিমিটার নিই এবং ভর নির্ণয় করি । এখন এই ক্যালরিমিটারে দুই-তৃতীয়াংশ ঘরের তাপমাত্রা অপেক্ষা একটু বেশি তাপমাত্রা বিশিষ্ট পানি নিই এবং ভর নির্ণয় করি। এই দুই ভরের পার্থক্য হতে পানির ভর পাওয়া যাবে। ক্যালরিমিটারকে একটি তাপ নিরোধী বাক্সের মধ্যে রেখে একটি সুবেদী থার্মোমিটার দ্বারা তাপমাত্রা নির্ণয় করি।
এখন কয়েক টুকরা বরফকে ব্লটিং কাগজ দিয়ে শুষ্ক করে দ্রুত ক্যালরিমিটারে নিমজ্জিত করি এবং জালিকাযুক্ত নাড়ানি দ্বারা বরফ পানিতে সম্পূর্ণরূপে নিমজ্জিত রাখি। তবে সাবধান থাকতে হবে যেন বরফ খণ্ড ভেসে না উঠে। সমস্ত বরফ গলে গেলে একটি সুবেদী থার্মোমিটার দ্বারা তাপমাত্রা নির্ণয় করি । এবার নাড়ানিসহ ক্যালরিমিটারের ভর নির্ণয় করি। তৃতীয় ভর হতে দ্বিতীয় ভর বিয়োগ করে বরফের ভর নির্ণয় করা হয়।
হিসাব ঃ ধরি, বরফ গলনের সুপ্ততাপ = L ক্যালরি/গ্রাম
নাড়ানিসহ ক্যালরিমিটারের ভর = m1 গ্রাম
পানির ভর = m2 গ্রাম
বরফের ভর = m2 গ্রাম
ধরি, পানির আপেক্ষিক তাপ = Scal/gm/°C
ক্যালরিমিটারের উপাদানের আপেক্ষিক তাপ =
প্রাথমিক পানির তাপমাত্রা = সেলসিয়াস শেষ তাপমাত্রা = । সেলসিয়াস
0° সেলসিয়াস তাপমাত্রার বরফ, O°C এর পানিতে রূপান্তর হতে প্রয়োজনীয় তাপ = m,L ক্যালরি বরফ গলা পানি কর্তৃক তাপ গ্রহণ = m, S (t – 0) = mat { S = 1 } ক্যালরি
- • S = 1, আদি তাপমাত্রা Oc
নাড়ানিসহ ক্যালরিমিটারের তাপ ত্যাগ = m, S, (t-ti) পানির তাপ ত্যাগ = m (t – 14) ক্যালরি { S = 1 } ।

উপরোক্ত সমীকরণের ডান পক্ষের রাশিগুলোর মান বসালে L এর মান নির্ণয় করা যায়।
সাবধানতা :
১। বরফকে সর্বদা পানির মধ্যে ডুবিয়ে রাখতে হবে যেন কোনোক্রমে ভেসে না উঠে ।
২। বরফ দেওয়ার আগে ভালভাবে ব্লটিং কাগজ দিয়ে বরফকে শুকিয়ে নিতে হয় যেন বরফের গায়ে কোনো প্রকার পানির কণা না থাকে ।
৩। খুব বেশি বরফ নেওয়া যাবে না। কারণ বেশি বরফ নিলে মিশ্রণের তাপমাত্রা অনেক নিচে নেমে আসার ফলে ক্যালরিমিটারের শিশির জমে যায়।
৪। কোনো প্রকার তাপ বাইরে যেতে না পারে বা বাইরে হতে কোনো তাপ ভিতরে না যায় সেই জন্য ক্যালরিমিটার অপরিবাহী পদার্থ দ্বারা ঘিরে রাখা হয় ।
২। ব্ল্যাকের বরফ ক্যালরিমিটারের সাহায্যে (By Blake’s ice Calorimeter) : এই প্রকার বরফ ক্যালরিমিটার বিজ্ঞানী জোসেফ ব্ল্যাক (Joseph Black) সর্বপ্রথম উদ্ভাবন করেন।
বর্ণনা ঃ বরফ ক্যালরিমিটার মূলত একটি পরিষ্কার ও বড় বরফ খণ্ড যার প্রত্যেক বাহু প্রায় দু’ইঞ্চির সমান এবং এই বরফ খণ্ডের মাঝখানে একটি এক ইঞ্চি ব্যাসের এবং এক ইঞ্চি গভীর একটি গর্ত আছে। গর্তটি বরফের একটি মোটা পাত দ্বারা ঢাকা থাকে। এই পাতটি ক্যালরিমিটারের ঢাকনা হিসাবে কাজ করে ।
কার্যপ্রণালি ঃ প্রথমে এক টুকরা কঠিন বস্তু নিই, যার আপেক্ষিক তাপ জানা এবং পানির সাথে কোনো রাসায়নিক বিক্রিয়া করে না। কঠিন পদার্থের ভর নিই।
এরপর বস্তুটি বাষ্প উত্তাপকের সাহায্যে উত্তপ্ত করি। বাষ্প উত্তাপকের থার্মোমিটারের তাপমাত্রা স্থির হলে বস্তুটি দ্রুত ক্যালরিমিটারের গর্তে ফেলে ঢাকনা দ্বারা ঢেকে দিতে হবে।

তবে ক্যালরিমিটারের গর্তে বস্তুটি ফেলার আগে এর ব্লটিং কাগজ দ্বারা গর্তটি ভাল করে পরিষ্কার করতে হবে কোনো পানিকণা না থাকে। এখন উত্তপ্ত বস্তুটি গর্তের মধ্যে তাপ হারাবে এবং বরফ তাপ গ্রহণ করবে ফলে গর্তে পানি উৎপন্ন হবে। এখন ভর নির্ণয় করা ব্লটিং কাগজ দ্বারা উৎপন্ন পানি শোষণ করে নেওয়া হয় এবং ভর নির্ণয় করা এই ভর থেকে ব্লটিং কাগজের ভর বিয়োগ করলে পানির ভর পাওয়া যাবে।
হিসাব ঃ মনে করি, বস্তুর ভর = গ্রাম
বরফ গলা পানির ভর = বস্তুর আপেক্ষিক তাপ = S ক্যালরি/গ্রাম/° সেলসিয়াস
বস্তুর তাপমাত্রা = t° সেলসিয়াস
ধরি, বরফ গলনের সুপ্ততাপ = 1. ক্যাপরি / না
0 সেলসিয়াm 0° সেলসিয়াস তাপমাত্রার পানিতে রূপান্তরিত
Imgi. ক্যাপরি ।
বন্ধু কর্তৃক হারানো তাপ = m, Sr ক্যাপরি ক্যাপরিমিটারের মূলনীতি অনুসারে তাপ গ্রহণ = তাপ বর্জন বা হারানো
mLm St
m St বা, L ক্যাপরি / গ্রাম
উপরোক্ত সমীকরণের ডান পক্ষের রাশিগুলোর মান বসালে L এর মাপ নির্ণয় করা যায়।
সুবিধা :
১। এই পদ্ধতিতে মাত্র একটি থার্মোমিটার ব্যবহার করা হয়।
২। মিশ্রণের তাপমাত্রার ব্যবহার করা প্রয়োজন হয় না।
৩। বিকিরণ পদ্ধতিতে কোন তাপ ক্ষ্যা হয় না।
অসুবিধা :
১। বরফ গর্ত হতে সঠিকভাবে পানি অপসারণ করা যায় না।
২। গর্ভে ঐ কঠিন বস্তু ফেলার সময় বরফ বাতাস থেকে কিছু তাপ গ্রহণ করে, ফলে কিছু বরফ গলে যায়, যা কারণে L এর মান এর ত্রুটি দেখা দেয়।
৩। বরফের ক্যালরিমিটারের মধ্যে থার্মোমিটার না থাকায় বস্তু তাপ ত্যাগ করে O°C না আসা পর্যন্ত অনিশ্চিতভা অপেক্ষা করতে হয়।
(খ) পানির বাষ্পীভবনের সুপ্ততাপ নির্ণয় (Determination of latent heat of vaporization of water) :
গঠন ৪ চিত্রে B একটি বাষ্প উৎপাদক পান। এর মধ্যে পানি ফুটানো হয় এবং বাষ্প উৎপাদন করা হয়। এর মাথ কর্ক দিয়ে আটকানো থাকে এবং এই কর্কের মধ্যে দুই বাঁকা নলের এক মাথা ঢুকানো থাকে এবং নলের অপর প্রান্ত বা ছাকনি S. এর মধ্যে প্রবেশ করানো থাকে। বাষ্প ছাঁকনি s পানি ও বাষ্পকে আলাদা করে।
বাষ্প ছাঁকনির মধ্যে এক ম ভাজ করা একটি নল P, ঢুকানো থাকে। P, নলের অপর প্রাপ্ত ক্যালরিমিটারের পানির মধ্যে ডুবানো থাকে। বাষ্প উৎপাদ যন্ত্র B এবং ক্যালরিমিটারের মধ্যে একটি তাপ কুপরিবাহী পদার্থের পর্দা A দেওয়া থাকে যেন উত্তপ্ত করার স ক্যালরিমিটার বাষ্প উৎপাদক যন্ত্র হতে কোনো তাপ গ্রহণ করতে না পারে।
কার্যপ্রণালি ঃ পানির বাষ্পীভবনের সুপ্ততাপ নির্ণয় করার জন্য প্রথমে নাড়ানিসহ একটি ক্যালরিমিটার শুষ্ক ও পরিষ্কার করে ভর নেওয়া হয়। আবার ক্যালরিমিটারের দুই-তৃতীয়াংশ পানি দ্বারা পূর্ণ করে ভর নেই। এই দুই ভরের বিয়োগফল পানির ভর নির্দেশ করে। এখন ক্যালরিমিটার একটি অপরিবাহী পদার্থের মধ্যে রেখে তাপমাত্রা নির্ণয় করি যেন ক্যালরিমিটারে রক্ষিত পানির তাপমাত্রা ঘরের তাপমাত্রা অপেক্ষা বেশি হয়।
এখন বাষ্প উৎপাদন যন্ত্র থেকে নির্গত বাষ্প ছাঁকনির মাধ্যমে সঞ্চালন করে P, নলের মাধ্যমে ক্যালরিমিটারের তলদেশে পৌঁছায়। এই বাষ্প পানির মধ্য দিয়ে চালনার ফলে বাষ্প পানির সংস্পর্শে এসে কিছু বাষ্প তাপ গ্রহণ করে পানিতে রূপান্তরিত হবে। ফলে ক্যালরিমিটারের পানির তাপমাত্রা বৃদ্ধি পাবে। কিছুক্ষণ পর পর এই নির্গমন নল বের করে সুবেদী থার্মোমিটারের সাহায্যে তাপমাত্রা নির্ণয় করা হয়।
এরপর ক্যালরিমিটার ও পানিসহ ভর নির্ণয় করে এর থেকে দ্বিতীয় ভর বাদ দিলে পানিতে রূপান্তরিত বাে পাওয়া যাবে।

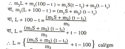
ধরি, পানির বাষ্পীভবনের সুপ্ততাপ = L ক্যালরি/গ্রাম
নাড়ানিসহ ক্যালরিমিটারের ভর = m গ্রাম পানিসহ ক্যালরিমিটারের প্রাথমিক তাপমাত্রা = t, মিশ্রণের তাপমাত্রা = ° সেলসিয়াস সেলসিয়াস ক্যালরিমিটারের আপেক্ষিক তাপ = S ক্যালরি/গ্রাম/° সেলসিয়াস
পানির ভর = গ্রাম বাষ্পের ভর = m, গ্রাম ।
বাষ্পের প্রাথমিক তাপমাত্রা = 100° সেলসিয়াস
.: 100° সেলসিয়াস তাপমাত্রার m, গ্রাম বাষ্প 100° সেলসিয়াস তাপমাত্রার পানিতে রূপান্তরিত হতে প্রয়োজনীয়
তাপ = m,L ক্যালরি
আবার 100° সেলসিয়াস তাপমাত্রার পানি কর্তৃক বর্জিত তাপ = m, (100 – 1 ) ক্যালরি নাড়ানিসহ ক্যালরিমিটারের তাপ গ্রহণ = m, S (t – t) ক্যালরি ঠান্ডা পানির তাপ গ্রহণ = my(t – 4) ক্যালরি ক্যালরিমিটারের মূলনীতি অনুসারে
তাপ বর্জন = তাপ গ্রহণ

উপরোক্ত সমীকরণের ডান পার্শ্বের রাশিগুলোর মান বসালে L এর মান নির্ণয় করা যায়।
সাবধানতা :
১। পরিবহন ও পরিচলন প্রক্রিয়ায় তাপ ক্ষয় বন্ধের জন্য ক্যালরিমিটার তাপ নিরোধী বাক্সে রাখতে হয়।
২। ক্যালরিমিটারে কম্পন ধীরে ধীরে চালনা করতে হবে যেন কোনো পানির কণা ক্যালরিমিটারের বাইরে না আসে ।
৩। বাষ্প উত্তাপক হতে যাতে কোনো তাপ সরাসরি না যায় সেজন্য উভয়ের মধ্যে একটি কুপরিবাহী পদার্থ দিতে হবে ।
8। বায়ুর চাপ পরিবর্তিত হয় বলে বাষ্পের তাপমাত্রা 100 সেলসিয়াস নাও হতে পারে। এজন্য প্রকৃত তাপমাত্রা দেখে নিতে হয়।

3 thoughts on “বরফ গলনের সুপ্ততাপ | পদার্থের তাপ ধারণ ক্ষমতা | পদার্থবিজ্ঞান”