আজকে আমরা নিউক্লিয় পদার্থবিজ্ঞান এর তেজস্ক্রিয়তা সম্পর্কে আলোচনা করবো। যা বাউবি এইচএসসি ২৮৭১ পদার্থ বিজ্ঞান ২য় পত্র ইউনিট ৯ নিউক্লিয় পদার্থবিজ্ঞান এর অন্তর্ভুক্ত।

নিউক্লিয় পদার্থবিজ্ঞান এর তেজস্ক্রিয়তা
তেজস্ক্রিয়তা (Radioactivity) :
হেনরি বেকরেল 1896 সালে ইউরেনিয়ামের তেজস্ক্রিয়তা আবিস্কার করেন। তিনি দেখেন যে, ইউরেনিয়ামের সকল যৌগ নিজের থেকেই অস্বচ্ছ কালো কাগজে মোড়া ফটোগ্রাফিক পেণ্টণ্টকে ক্ষতিগ্রড় করতে পারে, এর জন্য বাহ্যিক কোনো শক্তির সাহায্যে উদ্দীপ্ত করতে হয় না। পরবর্তিতে বিজ্ঞানী (মাদাম) মেরি কুরি থোরিয়াম মৌলেও ইউরেনিয়ামের মত ধর্ম দেখতে পান।
পরবর্তিতে মেরি কুরি এবং পিয়েরে কুরি ইউরেনিয়াম আকরিক থেকে পোলোনিয়াম ও রেডিয়াম নিস্কাশন করেন। এদের তেজস্ক্রিয়তা কয়েক হাজার গুণ বেশী।
তেজস্ক্রিয় পদার্থ হতে স্বতঃস্ফুর্তভাবে অবিরাম এক রহস্যময়ী কণা এবং রশ্মি নির্গত হয়। এই প্রক্রিয়াকে তেজস্ক্রিয়তা বলে।
কোনো অস্থায়ী নিউক্লিয়াস থেকে স্বতঃস্ফুর্তভাবে বিকিরণ নিঃসরণের প্রক্রিয়াকে তেজষ্ক্রিয়তা বা তেজস্ক্রিয় ক্ষয় বলে ।
তেজস্ক্রিয় বিকিরণকে তেজস্ক্রিয় রশ্মি বলে। তেজস্ক্রিয় মৌলের যে পরমাণুর তেজস্ক্রিয় ক্ষয় ঘটে তাকে জনক পরমাণু বলে । নিউক্লিয়াসে থেকে তেজস্ক্রিয় রশ্মি নির্গত হবার পর যে পরমাণুটি পড়ে থাকে তাকে দুহিতা পরমাণু বলে ।
তেজস্ক্রিয়তার বৈশিষ্ট্যঃ-
১। তেজস্ক্রিয়তা একটি স্বতঃস্ফুর্ত বিরামহীন ঘটনা।
২। তেজস্ক্রিয় পদার্থের রাসায়নিক পরিবর্তন ঘটলেও তেজস্ক্রিয়তার মাত্রা অপরিবর্তিত থাকে অর্থাৎ কোনো মৌলের যেকোনো যৌগের তেজস্ক্রিয় ধর্ম অভিন্ন।
৩। এটি একটি অপ্রত্যাবর্তী প্রক্রিয়া।
৪। তেজস্ক্রিয়তা তেজস্ক্রিয় পদার্থের তাপমাত্রা, চাপ, রাসায়নিক সংযোগ, আলো, তড়িৎক্ষেত্র, চৌম্বকক্ষেত্র ইত্যাদির উপর নির্ভর করে না ।
৫। তেজস্ক্রিয়তার উৎপত্তিস্থল পদার্থের নিউক্লিয়াসে ।
৬। তেজস্ক্রিয়তার বিকিরণ ধনচার্জ যুক্ত কণা, ঋণচার্জ যুক্ত কণা ও তাড়িতচৌম্বক তরঙ্গ প্রবাহের সমষ্টি ।
তেজস্ক্রিয় রশ্মির প্রকার ভেদ (Types of Radioactive Rays) :
বেকরেল প্রথমে তেজস্ক্রিয় রশ্মিকে এক্স রশ্মির অনুরূপ কোন রশ্মি মনে করেছিলেন। পরে এর মধ্যে তিন প্রকার রশ্মির সন্ধান পাওয়া গেল । গ্রীক বর্ণমালার প্রথম তিনটি বর্ণ দিয়ে এদের নামকরণ করা হয়- আলফা (o), বিটা (B) ও গামা (y) রশ্মি। নিরে পরীক্ষার সাহায্যে তিন প্রকার রশ্মির অতি সহজে বোঝা যায় ।
একটি অন্ধকার কক্ষের মধ্যে একটি প্রায় বায়ুশূন্য বড় পাত্রে নেয়া হয়। এই পাত্রের মধ্যে একটি মোটা সীসার দেয়ালযুক্ত একটি গভীর পাত্রে একটি তেজস্ক্রিয় নমুনা রাখা হয় (চিত্র)। সীসার বাক্সের উপরে সর— চিড় দিয়ে তেজস্ক্রিয় রশ্মি সমাালভাব উপরের দিকে নির্গত হবে। সীসা খ কিছু উপরে রশ্মির সাথে লম্বভাবে একটি ফটোগ্রাফিক পেণ্টট স্থাপন করা হয় এবং রশ্মি পথে লম্বভাবে একটি শক্তিশালী চৌম্বক ক্ষেত্র প্রয়োগ করা হয়। × চিহ্ন দিয়ে বোঝানো হয়েছে যে, চৌম্বকক্ষেত্র কাগজের উপর লম্ব
এবং কাগজ ভেদ করে পার হয়ে যাচ্ছে। তেজস্ক্রিয় রশ্মি কিছু সময় ধরে আপতিত হওয়ার পর পেণ্টটটি বিকাশ করা হলে এতে তিনটি সুস্পষ্ট কালো দাগ দেখা যায়।
একটি ঠিক মাঝখানে C বিন্দুতে, একটি বাম দিকে সামান্য দূরে A বিন্দুতে এবং আর একটি ডান দিকে বেশ কিছুটা দূরে B বিন্দুতে। চৌম্বকক্ষেত্রে ফ্লেমিং-এর বাম হড় নিয়ম অনুসারে বুঝা যায় ডান দিকের কালো দাগ ধনাত্মক চার্জ যুক্ত কণা এবং গতিপথের বক্রতা থেকে বোঝা যায় কণাটি ভারি রশ্মি দ্বারা সৃষ্টি হয়েছে- এটাই আলফা রশ্মি, বাম দিকের কালো দাগ ঋণাত্মক চার্জ যুক্ত কণা এবং গতিপথের বক্রতা থেকে বোঝা যায় কণাটি হালকা রশ্মি দ্বারা সৃষ্টি হয়েছে- এটাই বিটা রশ্মি এবং মাঝের কালো দাগ তড়িৎ নিরপেক্ষ কোন রশ্মি দ্বারা সৃষ্টি হয়েছে- এটাই গামা রশ্মি।

আলফা রশ্মির ধর্ম ও প্রকৃতিঃ-
১। আলফা রশ্মি দুটি প্রোটন ও দুটি নিউট্রন নিয়ে গঠিত অর্থাৎ এটি আয়নিত হিলিয়াম নিউক্লিয়াস। এর ভর 6.6×10-27kg ।
২। ইহা ধনাত্মক চার্জ বহন করে। এর পরিমান 3.2×10-“C ।
৩। এর শক্তি 1 MeV হতে 9MeV পর্যড় হয়।
৪ । এই রশ্মি তড়িৎ ক্ষেত্র ও চুম্বক ক্ষেত্র দ্বারা বিক্ষিপ্ত হয়।
৫। এর আয়নিত করার ক্ষমতা খুব বেশী। B -রশ্মির চেয়ে 100 গুণ এবং y -রশ্মির চেয়ে 1000 গুণ বেশী ।
৬। এটি ফটোগ্রাফিক পেণ্টটের উপর বিক্রিয়া করে।
৭। ইহা সহজেই বস্তু দ্বারা শোষিত হয়। এর ভেদন ক্ষমতা খুব কম।
৮। জিংক সালফাইডে আলফা রশ্মি প্রতিপ্রভ সৃষ্টি করে।
৯। ধাতব পেণ্টটের মধ্যদিয়ে যাবার সময় আলফা রশ্মি কণাগুলো চারিদিকে বিক্ষিপ্ত হয়।
বিটা রশ্মির ধর্ম ও প্রকৃতিঃ-
১। বিটা রশ্মি খুব হালকা। এরা ইলেকট্রন প্রবাহ। এর ভর 9.11×10 kg
২। এরা ঋণ চার্জ বহন করে। এই চার্জের মান 1.6×10-“C ।
৩। তেজস্ক্রিয় বস্তু থেকে বিটা রশ্মি প্রচন্ড বেগে নির্গত হয়। এর বেগ 0.9×10 Cms’ প্রায়। খুব কম বেগেও বিটা রশ্মি নির্গত হয় ।
৪ । এই রশ্মি তড়িৎ ক্ষেত্র ও চুম্বক ক্ষেত্র দ্বারা বিক্ষিপ্ত হয়।
৫। এর আয়নিত করার ক্ষমতা আছে তবে আলফা রশ্মি অপেক্ষা কম।
৬। এটি ফটোগ্রাফিক পেন্টটের উপর বিক্রিয়া করে।
৭। ইহা সহজেই বস্তু দ্বারা শোষিত হয়। এর ভেদন ক্ষমতা আলফা রশ্মি অপেক্ষা বেশী।
৮। জিংক সালফাইডে আলফা রশ্মি প্রতিপ্রভ সৃষ্টি করে।
৯। বিটা রশ্মি ধাতব পেণ্টটের মধ্যদিয়ে যাবার সময় কণাগুলো চারিদিকে বিক্ষিপ্ত হয়। আলফা রশ্মি অপেক্ষা অনেক বিক্ষিপ্ত হয়।

গামা রশ্মির ধর্ম ও প্রকৃতিঃ-
১। গামা রশ্মি অতি ক্ষুদ্র তরঙ্গ দৈর্ঘ্যের তাড়িতচৌম্বক তরঙ্গ
২। এই রশ্মি আলোর ন্যায় বেগে গতিশীল।
৩। এর কোনো চার্জ ও ভর নাই ।
৪। এই রশ্মি বিদ্যুৎ ক্ষেত্র ও চুম্বক ক্ষেত্র দ্বারা বিক্ষিপ্ত হয় না।
৫। এটি ফটোগ্রাফিক পেণ্টটের উপর বিক্রিয়া করে।
৬। এর আয়নিত করার ক্ষমতা আছে তবে বিটা রশ্মি অপেক্ষা কম ।
৭। জিংক সালফাইডে গামা রশ্মি প্রতিপ্রভ সৃষ্টি করে।
৮ । গামা রশ্মির প্রতিফলন, প্রতিসরণ, ব্যাতিচার, অপবর্তন ইত্যাদি সব আলোকীয় ধর্ম আছে।
তেজস্ক্রিয় ক্ষয় ধ্রুবক (Radioactive Decay Constant) :
তেজস্ক্রিয় ক্ষয় সম্ভাবনার সংখ্যাতাত্ত্বিক সূত্র (Statistical Law of Probability) মেনে চলে ।
এর তাৎপর্য হলো বহুসংখ্যক তেজস্ক্রিয় পরমাণুর মধ্য কোনটি আগে বা কোনটি পরে ক্ষয় হবে বা ভাঙ্গবে তা কখনোই বলা সম্ভব নয়। কেবল বলা যায় যে, সময়ের সাপেক্ষে তেজস্ক্রিয় পরমাণুগুলোর ভাঙ্গনের হার বা ক্ষয় ঐ সময় উপস্থিত অক্ষত বা অভগ্ন পরমাণুর সংখ্যার সমানুপাতিক।
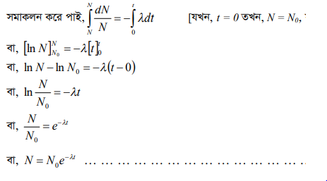
ধরা যাক, t সময়ে তেজস্ক্রিয় পরমাণুর সংখ্যা = N এবং dt সময় পর dN সংখ্যক পরমাণুর ক্ষয় হলে
-dN/dt ∝ N এখানে ঋণ চিহ্ন দ্বারা ভাঙ্গনের ফলে পরমাণুর সংখ্যার হ্রাস নির্দেশ করে।
dN/dt = –λN ……………….(1)
এখানে, λ একটি সমানুপাতিক ধ্রুবক। একে ঐ তেজস্ক্রিয় পদার্থের ক্ষয় ধ্রুবক (decay constant) বলে।
(1) নং সমীকরণ থেকে দেখা যায়, λ =- (dN/dt) N এখন N = 1 হলে, λ = – dN/ dt
সুতরাং, ক্ষয় ধ্রুবক একটি তেজস্ক্রিয় পরমাণুর একক সময়ে ভাঙ্গনের সম্ভাব্যতা নির্দেশ করে। সুতরাং, কোনো তেজস্ক্রিয় পদার্থের একটি পরমাণুর একক সময়ে ভেঙ্গে যাওয়ার সম্ভাব্যতাকে ঐ পদার্থের ক্ষয় ধ্রুবক বলে। কোনো তেজস্ক্রিয় পদার্থের ক্ষয় ধ্রুবক যত বড় হবে কোনো নির্দিষ্ট সময়ে ঐ পদার্থের একটি পরমাণু ভাঙ্গনের সম্ভাব্যতা তত বেশি হবে।
ক্ষয় ধ্রুবকের একক s-1।
(1) নং সমীকরণকে লেখা যায়, dN/ N=-λdt

বা, N = Noe-λt ……………….(2)
এটাই তেজস্ক্রিয় ভাঙ্গনের বা ক্ষয়ের সূচকীয় সূত্র।

তেজস্ক্রিয় পদার্থের অর্ধায়ু (Half-Life of Radoiactive materials) :
কোন তেজস্ক্রিয় পদার্থের প্ররম্ভিক অক্ষত পরমাণুর সংখ্যা অর্ধেক হতে যে সময় লাগে তাকে অর্ধায়ু বলে।
যদি, তেজস্ক্রিয় পদার্থের প্রারম্ভিক অক্ষত পরমাণুর সংখ্যা No এবং T সময় পর পরমাণুর সংখ্যা N = No/2 হয়, তবে T কে অর্ধায়ু বলে । সুতরাং,যখন t = T তখন N = No/2 হবে।
তেজস্ক্রিয় ভাঙ্গনের বা ক্ষয়ের সূচকীয় সূত্র অর্থাং (৯.৩৫) নং সমীকরণে মান বসালে,= No/2 = Noe-λt
বা, 1/2 = ee-λt
বা, 2 = eλt
বা, ln = λT
বা, T = = In 2/ λ ……………….(3)
বা, T = 0.693/ λ ……………….(4)
সুতরাং, তেজস্ক্রিয় পদার্থের অর্ধায়ু তার ক্ষয় ধ্রুবকের ব্যানুপাতিক। ক্ষয় ধ্রুবকের মান যত বেশী হয় অর্ধায়ু তত কম হয়।
আবার, ধরা যাক, t = nT এখানে, T = তেজস্ক্রিয় পদার্থের অর্ধায়ু। (৯.৩৫) নং সমীকরণে শর্তটি প্রয়োগ করলে,
N = Noe-λt
(3) নং সমীকরণে সাহায্যে লেখা যায়, N /No = e-λt
বা, No/N = e In 2
বা, No/N = e In 2n
বা, InNo/N = In 2
বা, No/N = 2n
N = No/2n ……………….(5)
অর্থাৎ যখন, t = nT তখন, N = No /2n
চিত্রে অর্ধায়ুর সাথে সে সময়ের বিদ্যমান অক্ষত পরমাণুর সম্পর্ক দেখানো হয়েছে।
যখন, t = T তখন, N = No/21 = No/2
যখন, t = 2T তখন N = No/22 = No/4
যখন, 1 = 3T তখন N = No/23 = No/8 ইত্যাদি।
উদাহরণ ১ ঃ
কোনো তেজস্ক্রিয় পদার্থের ক্ষয় ধ্রুবকের মান 3.75×10-3s-1। এর অর্ধায়ু কত ?
সমাধানঃ
দেয়া আছে, A = 3.75×10-3s-1, T = ?
আমরা জানি,
ক্ষয় ধ্রুবক, λ = 0.693/ T
..T= 0.693 /λ = 0.693 /(3.75×10-3) = 184.8s
উ :184.8s
উদাহরণ ২ ঃ
রাডনের অর্ধায়ু 3.82 দিন। র্যাডনের ক্ষয় ধ্রুবক এবং একখন্ড র্যাডনের 40% ক্ষয় হতে কত সময় লাগবে বের করন।
সমাধান ঃ
দেয়া আছে, র্যাডনের T = 3.82d এবং ক্ষয়ের পরিমান র্যাডনের 40% । 40% ক্ষয় হলে প্রাথমিক পরমাণু সংখ্যা 60% অবশিষ্ট আছে।
আমরা জানি, T = 0.693/λ
অতএব, λ = 0.693/T = 0.693/3.82 = 0.18d-¹
আবার, N/No = 60/100 = 0.6
তেজস্ক্রিয় ক্ষয়ের সূত্র হতে পাই, N = N0e-λt
বা, e-λt = N/No = 0.6
বা, λt = In1/0.6 = In 1.67 = 0.51
বা, t = 0.51/ λ = 0.51/0.18 = 2.833d
উ : 2.833d

তেজস্ক্রিয় পদার্থের গড় আয়ু (Mean-Life of Radoiactive materials) :
(2) নং সমীকরণ, N = Noe-λt
এখানে, λ অর্থাৎ ক্ষয় ধ্রুবকের একক হলো s -1
ধরি, τ = 1/λs । তাহলে τ কিছু সময় নির্দেশ করে।
(2) নং সমীকরণে λ এর মান বসালে, N = Noe-λt
যখন τ = t তখন N = Noe-1
বা, N/No = e ……………….(6)
বা, N/No = 2.718
বা, N = 2.718N0 ……………….(7)
সুতরাং যত সময় পর নিউক্লিয়াস ভেঙ্গে তার আদি পরিমানের চেয়ে 2.718 অংশ হবে সেই সময়কে পরমাণুর গড় আয়ু বলে।
সুতরাং, পরমাণুর গড় আয়ু, τ = 1/λ ……………….(8)
গড় আয়ুর সাথে অর্ধায়ু এর সম্পর্ক (Relation between Half-Life and Mean-Life) :
আমরা জানি, তেজস্ক্রিয় পদার্থের অর্ধায়ু, T = In 2/λ = 0.693/λ
এবং তেজস্ক্রিয় পদার্থের গড় আয়ু, τ = 1/λ বা, λ = 1/τ
সুতরাং, T = τIn 2 = 0.6937τ ……………….(9)
এটাই গড় আয়ুর সাথে অর্ধায়ুর এর সম্পর্ক ।
সক্রিয়তা (Activity) :
ময়ের সাপেক্ষে কোনো তেজস্ক্রিয় মৌলের ক্ষয়ের হারকে সক্রিয়তা বলা হয় ।
আমরা জানি, ক্ষয়ের হার, dN /dt =-λN |
তাই, λN গুণফলটির মাধ্যমে সক্রিয়তা প্রকাশ করা হয়। λN গুণফল থেকে বোঝা যায়,
ক) তেজস্ক্রিয় মৌলের সংখ্যা (N) বেশী হলে সক্রিয়তা বেশী হবে এবং
খ) তেজস্ক্রিয় মৌলের ক্ষয় ধ্রুবকের মান (2) বেশী হলে সক্রিয়তা বেশী হবে।
এছাড়াও বলা যায়, অর্ধায়ুর মান কম হলে সক্রিয়তা বেশী হবে কারণ, T = 0.693/λ
এবং গড় আয়ুর মান কম হলে সক্রিয়তা বেশী হবে কারণ, τ = 1/λ
মনে করি, কোনো তেজস্ক্রিয় মৌলের প্রাথমিক (যখন t = 0 ) সক্রিয়তা Ao = λNo
এবং t সময় পর সক্রিয়তা A = λN ।
(2) নং সমীকরণ থেকে আমরা জানি, N = Noe-λt
অতএব, λN = λNoe-λt
বা, A= Aoe-λt
সুতরাং বলা যায়, সক্রিয়তাও সূচকীয় সূত্র মেনে চলে ।
সক্রিয়তার SI পদ্ধতিতে একক বেকরেল (becquerel) সংক্ষেপে Bq।
অর্থাৎ 1Bq = 1decay per second (1dps ) । 1 Bq বলতে প্রতি সেকেন্ডে মোট তেজস্ক্রিয় মৌলের মধ্যে একটি নিউক্লিয়াসের ক্ষয়কে বোঝায়।
সক্রিয়তার পুরাতন একক হলো কুরি (Curie) সংক্ষেপে Ci।
1Ci = 3.7 × 100 decay per second (dps) অর্থাৎ প্রতি সেকেন্ডে মোট তেজস্ক্রিয় মৌলের মধ্যে 3.7×10″ সংখ্যক নিউক্লিয়াসের ক্ষয়কে বোঝায় ।
উদাহরণ ৩ ঃ
একটি তেজস্ক্রিয় মৌলের অর্ধায়ু 20d এবং কোনো এক সময়ে এর পরমাণুর সংখ্যা 10° হলে এর সক্রিয়তা বের করন।
সমাধান ঃ
দেয়া আছে, T = 20d = 20 x 86400s = 1728000s এবং N = 3.7×10°
আমরা জানি, λ = 0.693 /T
= 0.693/ 1728000 = 4.01×10-7s-1
সুতরাং, সক্রিয়তা: = Nλ = 3.7×1010 ×4.01×107 =1.483×104dps
উ: 1.483×104 dps

সার-সংক্ষেপ :
তেজস্ক্রিয়তা ঃ
তেজস্ক্রিয় পদার্থ হতে স্বতঃস্ফুর্তভাবে অবিরাম এক রহস্যময়ী কণা এবং রশ্মি নির্গত হয়। এই প্রক্রিয়াকে তেজস্ক্রিয়তা বলে।
তেজস্ক্রিয় রশ্মির প্রকারভেদ :
তেজস্ক্রিয় রশ্মি তিন প্রকার: ১) α– রশ্মি, ২) B- রশ্মি ও ৩) y- রশ্মি
তেজস্ক্রিয় ক্ষয়ের সূচকীয় সূত্র ঃ
N = Noe-λt
তেজস্ক্রিয় পদার্থের অর্ধায়ু :
কোনো তেজষ্ক্রিয় পদার্থের প্রারম্ভিক অক্ষত পরমাণুর সংখ্যা অর্ধেক হতে যে সময় লাগে তাকে অর্ধায়ু বলে ।
তেজস্ক্রিয় পদার্থের গড় আয়ু ঃ
যত সময় পর নিউক্লিয়াস ভেঙ্গে তার আদি পরিমানের চেয়ে 2.718 অংশ হবে সেই সময়কে পরমাণুর গড় আয়ু বলে।
গড় আয়ুর সাথে অর্ধায়ু এর সম্পর্ক :
T = τIn 2 = 0.693τ
বহুনির্বাচনী প্রশ্ন:
১। তেজস্ক্রিয় রশ্মির কত প্রকার?
ক. ১ প্রকার
খ. ২ প্রকার
গ. ৩ প্রকার
ঘ. ৪ প্রকার
২। গামা রশ্মির বৈশিষ্ট্য হচ্ছে-
i. তেজষ্ক্রিয় নিউক্লিয়াস থেকে নির্গত হয়
ii. এটি তাড়িৎচৌম্বক তরঙ্গ
iii. এর ভেদন ক্ষমতা সর্বাধিক
নিচের কোনটি সঠিক?
ক. i ও ii
খ. i ও iii
গ. ii ও iii
ঘ. i, ii ও iii
