ভেক্টরের ডট এবং ক্রস গুণন : একটি ভেক্টর হল এমন একটি পরিমাণ যা শুধুমাত্র তার মান দ্বারা নয় বরং তার দিক দ্বারাও সংজ্ঞায়িত করা হয়। ভেক্টরের মধ্যে রয়েছে বেগ, বল, ত্বরণ, ভরবেগ ইত্যাদি।
ভেক্টরের ডট এবং ক্রস গুণন
ভেক্টর গুণ করার দুটি কৌশল রয়েছে
- ডট গুণ বা স্কেলার গুণ
- ক্রস গুণ বা ভেক্টর গুণ
ডট গুণন
দুটি ভেক্টরের স্কেলার গুণন/ডট গুণনের আউটপুট সর্বদা একটি স্কেলার সংখ্যা। দুটি ভেক্টর বিবেচনা করা যাক: a এবং b. এই ভেক্টরগুলির মধ্যে a, b, এবং cosine এর মানের গুণফল স্কেলার গুণফল দেয়।

Scalar product = |a| |b| cos α
|a| = a ভেক্টরের মাত্রা
|b| = b ভেক্টরের মাত্রা
α = ভেক্টরদ্বয়ের মধ্যে কোণ
দুটি ভেক্টর এর স্কেলার গুণফলের সময় সলাফল সরূপএকটি বাস্তব সংখ্যা পাওয়া যায়।
পরিবর্তনশীল স্কেলার গুণফল হল a.b =b.a= |a| |b| cosα
α=90° হলে স্কেলার গুণফল শূন্য, যেহেতু cos(90) = 0। ফলস্বরূপ, x এবং y অক্ষ বরাবর একক ভেক্টর গুলোর স্কেলার গুণফল শূন্য।
স্কেলার গুণফল হল ab যদি তাদের মধ্যবর্তী কোন ০ হয়।
দুটি একক ভেক্টরের স্কেলার গুণফল 1।
|a|^2 হল , ভেক্টর a-এর নিজের সাথে স্কেলার গুণফল।
a এবং b ভেক্টরের স্কেলার গুণফল হল ,-|a|b| যদি মধ্যবর্তী কোণ 180 ডিগ্রি হয়।
এ ছাড়াও, স্কেলার গুণন বন্টন সূত্র মেনে চলে।
ডট গুণফল নির্দেশ করে যে গতি ভেক্টরের দিকে কতটা বল ভেক্টর প্রয়োগ করা হয়েছে। ডট প্রোডাক্ট দুটি ভেক্টর দ্বারা তৈরি কোণ, সেইসাথে স্থানাঙ্ক অক্ষের সাথে সম্পর্কিত একটি ভেক্টরের অবস্থান গণনা করতেও ব্যবহার করা যেতে পারে। দুটি ভেক্টর একটি সরল কোণে ছেদ করে কিনা তা দেখার জন্যও ডট গুণন ব্যাবহৃত হয়।
ভেক্টরের ক্রস গুণনঃ

মধ্যবর্তী কোণ α সহ দুটি ভেক্টর a এবং b এর ভেক্টর গুণফল C হিসাবে গণনা করা হলে
C= a × b = |a| |b| sin α
এটা মনে রাখা গুরুত্বপূর্ণ যে ক্রস গুণনের ফলাফল একটি নির্দিষ্ট দিক সহ একটি ভেক্টর। a এবং b উভয়ই সর্বদা ফলাফলের সাথে লম্ব।
sin(0) = 0 যখন a এবং b সমান্তরাল ভেক্টর হয়,ীক্ষেত্রে ফলাফল অবশ্যই শূন্য হবে।
sin(0) = 0 হিসাবে, সমান্তরাল ভেক্টর/সমলিনিয়ার ভেক্টরের ক্রস গুণফল শূন্য। i × i = j × j = k × k = 0
একক মানের দুটি পারস্পরিক লম্ব ভেক্টরের গুণফল েক (কারণ sin(0)=1)।
ক্রস প্রোডাক্ট বিনিময় প্রথা মেনে চলে না।
a × b, b × a এর সমান নয়
আবার, ক্রস গুণন a × (b + c) = a × b + a × c বন্টনমূলক সূত্র মেনে চলে।
েখানে k(a × b) = k(a) × b = a × k(b) যদি k একটি স্কেলার হয়
ঘড়ির কাঁটার দিকে ঘোরানো এবং যেকোন এক জোড়া আয়ত একক ভেক্টরের ক্রস গুণন করলে তৃতীয়টি ফলাফল হিসেবে পাওয়া যায়, যেখানে ঘড়ির কাঁটার বিপরীত দিকে ঘুরিয়ে গুগ্ণন কয়রা হলে একই কিন্তু ঋণাত্মক ফলাফল দেয়।
i × j = k j × k = i k × i = j
j × i = -k i × k= -j k × j = -I
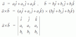
a = a1i + a2j + a3k এবং b = b1i + b2j + b3k যদি যথাক্রমে a এবং b ভেক্টর হয়, তাহলে
ক্রস গুণন a x b তাই ম্যাট্রিক্স আকারে গণনা করা যেতে পারে।

a × b = i(a2b3 – b2a3) + j(a3b1 – a1b3) + k(a1b2 – a2b1)
ক্রস গুণন বিভিন্ন ক্ষেত্রে ব্যবহার করা যেতে পারে. এটি কম্পিউটেশনাল জ্যামিতি, পদার্থবিদ্যা এবং প্রকৌশলে ব্যাপকভাবে ব্যবহার করা হয়।
ক্রস গুণনটি ত্রিমাত্রিক স্থানে দুটি তির্যক রেখার (যে রেখাগুলি একই সমতলে নেই) মধ্যবর্তী দূরত্ব গণনা করতে ব্যবহৃত হয়।
ক্রস গুণনটি একটি ত্রিভুজ বা বহুভুজের ক্ষেত্রফল পেতে ব্যবহার করা যেতে পারে, যা কম্পিউটার গ্রাফিক্সের একটি ্গুরুত্বপূর্ণ টাস্ক।
একটি নির্দিষ্ট উত্সের চারপাশে একটি কণার কৌণিক ভরবেগ কে L দ্বারা সংজ্ঞায়িত করা হয়:

যেখানে r হল মূল বিন্দুর সাপেক্ষে কণার অবস্থান ভেক্টর এবং p হল কণার রৈখিক ভরবেগ
একইভাবে, A বিন্দুর চারপাশে B বিন্দুতে FB বল প্রয়োগের M মোমেন্ট নিম্নরূপ গণনা করা হয়:

ক্রস গুণন, একটি চলমান বৈদ্যুতিক চার্জ qe দ্বারা প্রাপ্ত লরেন্টজ বল বর্ণনা করতে ব্যবহৃত হয়
ভেক্টর অপারেটর কার্ল-এর সাহায্যে ফলাফল বের করতে ভেক্টর ক্যালকুলাসে ক্রস গুণন ব্যবহার করা হয়।
এপিপোলার এবং মাল্টি-ভিউ জ্যামিতিতে, একটি ম্যাট্রিক্স গুণের পরিপ্রেক্ষিতে একটি ক্রস গুণন প্রকাশ করার পদ্ধতি প্রায়শই দেখা যায়, বিশেষ করে যখন সাদৃশ্য খোজা হয়।
নদী-নৌকা সংক্রান্ত গাণিতিক সমস্যা- ০১:

2 thoughts on “ভেক্টরের ডট এবং ক্রস গুণন”